k-Nearest Neighbors
- 思想极度简单
- 应用数学知识少(近乎为零)
- 效果好(缺点?)
- 可以解释机器学习算法使用过程中的很多细节问题
- 更完整的刻画机器学习应用的流程
- 天然可以解决多分类问题
- 思想简单,效果强大
- 可以解决回归问题
- 缺点:
- 效率低下
- 如果训练集有m个样本,n个特征,则预测每一个新的数据,需要O(m*n)
- 优化,使用树结构:KD-Tree,Ball-Tree
- 缺点2:高度数据相关
- 缺点3:预测结果不具有可解释性
- 缺点4:维数灾难
- 解决:降维
- 解决:降维
基本原理
from math import sqrt
distances = []
x = np.array([8.093607318, 3.365731514])
for x_train in X_train:
d = sqrt(np.sum((x_train - x)**2))
distances.append(d)
distances
nearest = np.argsort(distances) # 排序后返回所有元素的索引
k = 6 # K近邻算法,取最近的6个点
topK_y = [y_train[i] for i in nearest[:k]] # 取最近的k个点的下表,对应着去y_train中把指定下标的元素取出来
# 下面对topk_y中的元素分布做一下统计
from collections import Counter
Counter(topK_y)
votes.most_common(2) # 找出票数最多的n个元素,2就是n的具体值
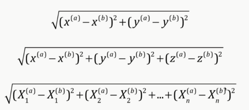
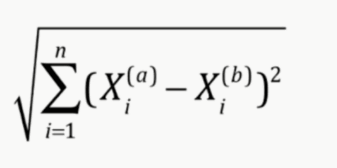
- 两个特征点之间的距离使用欧拉距离
- 两个点对应维度的值相减再平方,平法和再开根号
- 简写
- 两个点对应维度的值相减再平方,平法和再开根号
python实现
import numpy as np
from math import sqrt
from collections import Counter
def kNN_classify(k, X_train, y_train, x):
assert 1 <= k <= X_train.shape[0], "k must be valid"
# numpy数组的shape[0]表示数组的行数
assert X_train.shape[0] == y_train.shape[0], "the size of X_train must be equal to the size of y_train"
# numpy数组的shape[1]表示数组的列数(在机器学习中,列一半作为特性,比如鸢尾花的花瓣的长、花瓣的宽、茎的高度、叶子形状等)
assert X_train.shape[1] == x.shape[0], "the feature number of x must be equal to X_train"
distances = [sqrt(np.sum((x_train - x) ** 2)) for x_train in X_train]
# 获取最近的几个点
nearest = np.argsort(distances)
# 获取最近的几个点在目标向量中对应的目标值(即结果是哪个)
topK_y = [y_train[i] for i in nearest[:k]]
votes = Counter(topK_y)
return votes.most_common(1)[0][0]
- k近邻算法是非常特殊的,可以被认为是没有模型的算法
- 为了和其他算法统一,可以认为训练数据集就是模型本身
使用scikit-learn中的kNN
from sklearn.neighbors import KNeighborsClassifier # 引入k近邻算法
kNN_classifier = KNeighborsClassifier(n_neighbors=6) # 选取6个距离最近的点
kNN_classifier.fit(X_train, y_train)
X_predict = x.reshape(1, -1) # 待预测点x转换成2维矩阵
y_predict = kNN_classifier.predict(X_predict)
y_predict[0] # 取出第一个预测结果
重构python代码
import numpy as np
from math import sqrt
from collections import Counter
from .metrics import accuracy_score
class KNNClassifier:
def __init__(self, k):
"""初始化kNN分类器"""
assert k >= 1, "k must be valid"
self.k = k
self._X_train = None
self._y_train = None
def fit(self, X_train, y_train):
"""根据训练数据集X_train和y_train训练kNN分类器"""
assert X_train.shape[0] == y_train.shape[0], \
"the size of X_train must be equal to the size of y_train"
assert self.k <= X_train.shape[0], \
"the size of X_train must be at least k."
self._X_train = X_train
self._y_train = y_train
return self
def predict(self, X_predict):
"""给定待预测数据集X_predict,返回表示X_predict的结果向量"""
assert self._X_train is not None and self._y_train is not None, \
"must fit before predict!"
assert X_predict.shape[1] == self._X_train.shape[1], \
"the feature number of X_predict must be equal to X_train"
y_predict = [self._predict(x) for x in X_predict]
return np.array(y_predict)
def _predict(self, x):
"""给定单个待预测数据x,返回x的预测结果值"""
assert x.shape[0] == self._X_train.shape[1], \
"the feature number of x must be equal to X_train"
distances = [sqrt(np.sum((x_train - x) ** 2))
for x_train in self._X_train]
nearest = np.argsort(distances)
topK_y = [self._y_train[i] for i in nearest[:self.k]]
votes = Counter(topK_y)
return votes.most_common(1)[0][0]
def score(self, X_test, y_test):
"""根据测试数据集 X_test 和 y_test 确定当前模型的准确度"""
y_predict = self.predict(X_test)
return accuracy_score(y_test, y_predict)
def __repr__(self):
return "KNN(k=%d)" % self.k
训练数据集,测试数据集
- 分类的准确度 accuracy
超参数和模型参数
- 超参数:在算法运行前需要决定的参数
- 调参就是调超参数
- 模型参数:算法过程中学习的参数
- KNN算法没有模型参数
- kNN算法中的k是典型的超参数
- 寻找最好的超参数:条件
- 领域知识
- 经验数值
- 实验搜索
- 考虑距离的另一个好处是可以解决平票的情况
曼哈顿距离
%%time
best_p = "" # 明科夫斯基的最佳参数
best_score = 0.0
best_k = -1
for k in range(1, 11):
for p in range(1, 6):
knn_clf = KNeighborsClassifier(n_neighbors=k, weights="distance",p=p)
knn_clf.fit(X_train, y_train)
score = knn_clf.score(X_test, y_test)
if score > best_score:
best_p = p
best_k = k
best_score = score
print("best_p = ", best_p)
print("best_k = ", best_k)
print("best_score = ", best_score) # 如果过大或者过小就应该适当扩大k的范围
Grid Search
# 先创建网格参数
param_grid = [
{
'weights':['uniform'],
'n_neighbors':[i for i in range(1, 11)]
},
{
'weights':['distance'],
'n_neighbors':[i for i in range(1, 11)],
'p':[i for i in range(1, 6)]
}
]
from sklearn.model_selection import GridSearchCV
grid_search = GridSearchCV(knn_clf, param_grid)
%%time
grid_search.fit(X_train, y_train)
knn_clf = grid_search.best_estimator_ # 选取最佳模型
%%time
# 并发进行模型获取
grid_search = GridSearchCV(knn_clf, param_grid, n_jobs=-1, verbose=2) # njobs代表用几个核。-1代表用所有的核.verbose代表信息输出的详细程度
grid_search.fit(X_train, y_train)
- 更多距离定义(两个样本之间的相似度)
- 向量空间余弦相似度Cosine Similarity
调整余玄相似度Adjusted Cosine Similarity
皮尔森相关系数Pearson Correlation Coefficient
Jaccard相似系数Jaccard Coefficient
数据归一化Feature Scaling
- 解决方案:将所有的数据映射到同一尺度
- 均值归一化:把所有数据映射到0-1之间
- 适用于分布有明显边界的情况;受outier影响较大
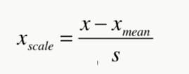
- 解决方案:均值方差归一化 standardization
- 数据分布没有明显的边界;有可能存在极端数据值
- 均值方差归一化:把所有数据归一到均值为0方差为1的分布中
- 解决方案:均值方差归一化 standardization
(x - np.min(x)) / (np.max(x) - np.min(x)) # 将x的所有元素都进行了归一化
对测试数据集如何归一化?
- 测试数据是模拟真实环境
- 真实环境很有可能无法得到所有测试
- 数据的均值和方差
- 对数据的归一化也是算法的一部分
- 要保存训练数据集得到的均值和方差
- scikit-learn中使用Scaler
- scikit-learn中使用Scaler
from sklearn.preprocessing import StandardScaler
standardScaler = StandardScaler()
standardScaler.fit(X_train) # 归一化
standardScaler.mean_
standardScaler.scale_ # std建议用scale替换
standardScaler.transform(X_train) # 对整个矩阵进行归一化,不会改变X_train
X_test_standard = standardScaler.transform(X_test)
from sklearn.neighbors import KNeighborsClassifier
knn_clf = KNeighborsClassifier(n_neighbors=3)
knn_clf.fit(X_train, y_train)
knn_clf.score(X_test_standard, y_test) # 获取计算地准确率。训练数据集和测试数据集必须都进行归一化(transform)操作
点击查看更多内容
3人点赞
评论
共同学习,写下你的评论
评论加载中...
作者其他优质文章
正在加载中
感谢您的支持,我会继续努力的~
扫码打赏,你说多少就多少
赞赏金额会直接到老师账户
支付方式
打开微信扫一扫,即可进行扫码打赏哦

















