【案例描述】
注意:本案例为唐宇迪数据挖掘实战课程案例
通过Logistic回归分类信用卡交易异常数据,属于二分类问题,通过sklearn库函数实现数据预处理以及模型构建。
数据集链接:https://pan.baidu.com/s/1l56R4JvTzWguC4KlcZw3JA 提取码: r2zc
【涉及内容】
本案例所涉及的机器学习内容如下:
- 数据均衡(下采样与过采样)
- 数据标准化(将数据置为[-1,1]区间)
- 混淆矩阵
- recall评估以及精度评估等方法
- 交叉验证
- SMOTE算法,生成数据
- sigmoid函数阈值对结果的影响
【具体代码】
import numpy as np
import pandas as pd
import matplotlib.pyplot as plt
%matplotlib inline
data=pd.read_csv('creditcard.csv')
data.head()
count_classes = pd.value_counts(data['Class'],sort=True).sort_index()#统计Class属性的value类别以及数量,并按照value值进行排序
count_classes
count_classes.plot(kind='bar')
plt.title('Fraud class histogram')
plt.xlabel('Class')
plt.ylabel('Frequency')
from sklearn.preprocessing import StandardScaler#sklearn数据预处理库
data['normAmount']=StandardScaler().fit_transform(data['Amount'].values.reshape(-1,1))
data=data.drop(['Time','Amount'],axis=1)
data.head()
data['normAmount'].values
X=data.iloc[:,data.columns!='Class']#loc和iloc的区别,在于loc通过index获取数据,iloc通过行号获取数据
Y=data.iloc[:,data.columns=='Class']
number_records_fraud=len(data[data.Class==1])
fraud_indexes=np.array(data[data.Class==1].index)
fraud_indexes
normal_indexes=data[data.Class==0].index
normal_indexes
random_normal_indexes=np.random.choice(normal_indexes,number_records_fraud,replace=False)
random_normal_indexes
under_sample_indexes=np.concatenate([fraud_indexes,random_normal_indexes])#将两个数组合并成一个数组
under_sample_data =data.iloc[under_sample_indexes,:]
under_sample_data
X_underSample = under_sample_data.iloc[:,under_sample_data.columns!='Class']
Y_underSample = under_sample_data.iloc[:,under_sample_data.columns=='Class']
print('正样本比例---',len(under_sample_data[under_sample_data.Class==0])/len(under_sample_data))
print('负样本比例---',len(under_sample_data[under_sample_data.Class==1])/len(under_sample_data))
print('总样本个数---',len(under_sample_data))
from sklearn.cross_validation import train_test_split #导入数据切分的工具包
#对整个数据集进行一个分割
X_train,X_test,y_train,y_test=train_test_split(X,Y,test_size=0.3,random_state=0)
X_train
print('总训练样本---',len(X_train))
print('总测试样本---',len(X_test))
print('样本总数---',len(X_train)+len(X_test))
#under_sample dataset进行交叉验证分割
X_train_undersample,X_test_undersample,Y_train_undersample,Y_test_undersample=train_test_split(X_underSample,Y_underSample,test_size=0.3,random_state=0)
print('下采样:总训练样本---',len(X_train_undersample))
print('下采样:总测试样本---',len(X_test_undersample))
print('下采样:样本总数---',len(X_train_undersample)+len(X_test_undersample))
#Recall=TP/(TP/FP)
from sklearn.linear_model import LogisticRegression #逻辑回归
from sklearn.cross_validation import KFold,cross_val_score #交叉验证
from sklearn.metrics import confusion_matrix,recall_score,classification_report#混淆矩阵
fold = KFold(len(Y_train_undersample),5,shuffle=False)
fold
help(KFold)
for train_index, test_index in fold:
print("TRAIN:", train_index, "TEST:", test_index)
#核心函数
def printing_Kfold_scores(X_train_data,Y_train_data):
fold =KFold(len(Y_train_data),5,shuffle=False)
#正则化中不同的惩罚项参数
c_param_range =[0.01,0.1,1,10,100]
results_table=pd.DataFrame(index=range(len(c_param_range)),columns=['C_parameter','Mean recall score'])
results_table['C_parameter'] = c_param_range
#the k-fold will gives 2 lists: train_indexes=indexes[0],test_indexes=indexes[1]
j=0
for c_param in c_param_range:
print('----------------------------------------------------')
print('C parameter:',c_param)
print('----------------------------------------------------')
print('')
recall_accs=[]
for iteration,indexes in enumerate(fold,start=1):
# Call the logistic regression model with a certain C parameter
lr=LogisticRegression(C=c_param,penalty='l1')#L1惩罚,L2惩罚
# Use the training data to fit the model. In this case, we use the portion of the fold to train the model
# with indices[0]. We then predict on the portion assigned as the 'test cross validation' with indices[1]
lr.fit(X_train_data.iloc[indexes[0],:],Y_train_data.iloc[indexes[0],:].values.ravel())
# Predict values using the test indices in the training data
Y_pred_undersample=lr.predict(X_train_data.iloc[indexes[1],:].values)
# Calculate the recall score and append it to a list for recall scores representing the current c_parameter
recall_acc=recall_score(Y_train_data.iloc[indexes[1],:].values,Y_pred_undersample)
recall_accs.append(recall_acc)
print('Iteration',iteration,':recall score =',recall_acc)
results_table.loc[j,'Mean recall score']=np.mean(recall_accs)
j+=1
print('')
print('Mean recall score',np.mean(recall_accs))
print('')
best_c=results_table.loc[results_table['Mean recall score'].astype('float64').idxmax()]['C_parameter']
#Finally,we can check which C parameter is the best amongst the chosen
print('***************************************************')
print('Best model to choose from cross validation is with C parameter =',best_c)
print('***************************************************')
return best_c
best_c=printing_Kfold_scores(X_train_undersample,Y_train_undersample)
#混淆矩阵
def plot_confusion_matrix(cm, classes,
title='Confusion matrix',
cmap=plt.cm.Blues):
"""
This function prints and plots the confusion matrix.
"""
plt.imshow(cm, interpolation='nearest', cmap=cmap)
plt.title(title)
plt.colorbar()
tick_marks = np.arange(len(classes))
plt.xticks(tick_marks, classes, rotation=0)
plt.yticks(tick_marks, classes)
thresh = cm.max() / 2.
for i, j in itertools.product(range(cm.shape[0]), range(cm.shape[1])):
plt.text(j, i, cm[i, j],
horizontalalignment="center",
color="white" if cm[i, j] > thresh else "black")
plt.tight_layout()
plt.ylabel('True label')
plt.xlabel('Predicted label')
import itertools
lr = LogisticRegression(C = best_c, penalty = 'l1')
lr.fit(X_train_undersample,Y_train_undersample.values.ravel())
Y_pred_undersample = lr.predict(X_test_undersample.values)
# Compute confusion matrix
cnf_matrix = confusion_matrix(Y_test_undersample,Y_pred_undersample)
np.set_printoptions(precision=2)
print("Recall metric in the testing dataset: ", cnf_matrix[1,1]/(cnf_matrix[1,0]+cnf_matrix[1,1]))
# Plot non-normalized confusion matrix
class_names = [0,1]
plt.figure()
plot_confusion_matrix(cnf_matrix
, classes=class_names
, title='Confusion matrix')
plt.show()
lr = LogisticRegression(C = best_c, penalty = 'l1')
lr.fit(X_train_undersample,Y_train_undersample.values.ravel())
Y_pred = lr.predict(X_test.values)
# Compute confusion matrix
cnf_matrix = confusion_matrix(y_test,Y_pred)
np.set_printoptions(precision=2)
print("Recall metric in the testing dataset: ", cnf_matrix[1,1]/(cnf_matrix[1,0]+cnf_matrix[1,1]))
# Plot non-normalized confusion matrix
class_names = [0,1]
plt.figure()
plot_confusion_matrix(cnf_matrix
, classes=class_names
, title='Confusion matrix')
plt.show()
best_c = printing_Kfold_scores(X_train,y_train)
lr = LogisticRegression(C = best_c, penalty = 'l1')
lr.fit(X_train,y_train.values.ravel())
y_pred_undersample = lr.predict(X_test.values)
# Compute confusion matrix
cnf_matrix = confusion_matrix(y_test,y_pred_undersample)
np.set_printoptions(precision=2)
print("Recall metric in the testing dataset: ", cnf_matrix[1,1]/(cnf_matrix[1,0]+cnf_matrix[1,1]))
# Plot non-normalized confusion matrix
class_names = [0,1]
plt.figure()
plot_confusion_matrix(cnf_matrix
, classes=class_names
, title='Confusion matrix')
plt.show()
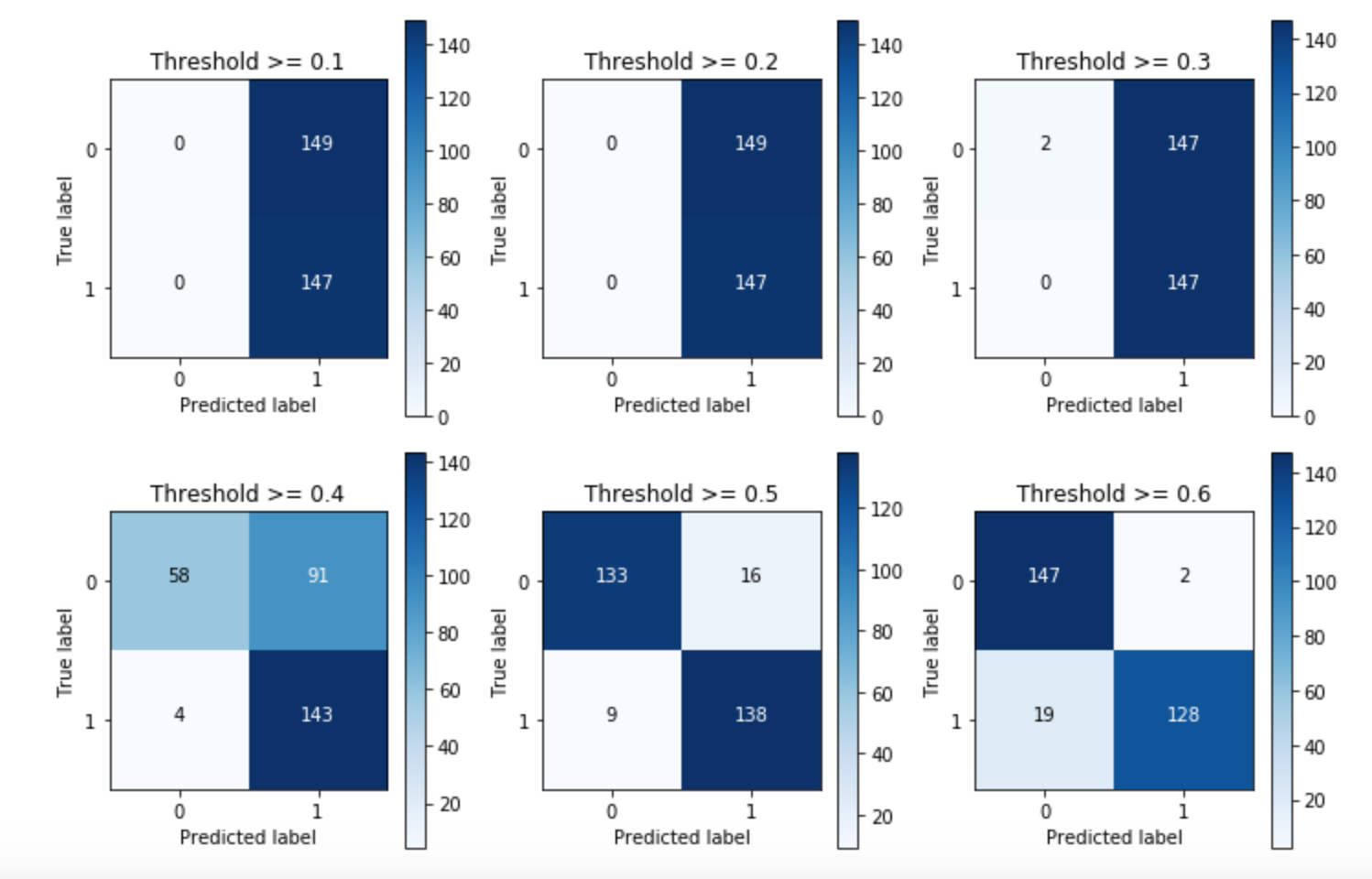
lr = LogisticRegression(C = 0.01, penalty = 'l1')
lr.fit(X_train_undersample,Y_train_undersample.values.ravel())
y_pred_undersample_proba = lr.predict_proba(X_test_undersample.values)
thresholds = [0.1,0.2,0.3,0.4,0.5,0.6,0.7,0.8,0.9]
plt.figure(figsize=(10,10))
j = 1
for i in thresholds:
y_test_predictions_high_recall = y_pred_undersample_proba[:,1] > i
plt.subplot(3,3,j)
j += 1
# Compute confusion matrix
cnf_matrix = confusion_matrix(Y_test_undersample,y_test_predictions_high_recall)
np.set_printoptions(precision=2)
print("Recall metric in the testing dataset: ", cnf_matrix[1,1]/(cnf_matrix[1,0]+cnf_matrix[1,1]))
# Plot non-normalized confusion matrix
class_names = [0,1]
plot_confusion_matrix(cnf_matrix
, classes=class_names
, title='Threshold >= %s'%i)
#过采样具体过程
from imblearn.over_sampling import SMOTE
from sklearn.ensemble import RandomForestClassifier
from sklearn.metrics import confusion_matrix
from sklearn.model_selection import train_test_split
credit_cards=pd.read_csv('creditcard.csv')
columns =credit_cards.columns
#删除最后一列
features_columns =columns.delete(len(columns)-1)
features =credit_cards[features_columns]
labels=credit_cards['Class']
feature_train,feature_test,labels_train,labels_test=train_test_split(features,labels,test_size=0.2,random_state=0)
oversampler=SMOTE(random_state=0)
os_features,os_labels=oversampler.fit_sample(feature_train,labels_train)
len(os_labels[os_labels.values==1])
os_features=pd.DataFrame(os_features)
os_labels=pd.DataFrame(os_labels)
best_c=printing_Kfold_scores(os_features,os_labels)
lr = LogisticRegression(C = best_c, penalty = 'l1')
lr.fit(os_features,os_labels.values.ravel())
y_pred = lr.predict(feature_test.values)
# Compute confusion matrix
cnf_matrix = confusion_matrix(labels_test,y_pred)
np.set_printoptions(precision=2)
print("Recall metric in the testing dataset: ", cnf_matrix[1,1]/(cnf_matrix[1,0]+cnf_matrix[1,1]))
# Plot non-normalized confusion matrix
class_names = [0,1]
plt.figure()
plot_confusion_matrix(cnf_matrix
, classes=class_names
, title='Confusion matrix')
plt.show()
点击查看更多内容
3人点赞
评论
共同学习,写下你的评论
评论加载中...
作者其他优质文章
正在加载中
感谢您的支持,我会继续努力的~
扫码打赏,你说多少就多少
赞赏金额会直接到老师账户
支付方式
打开微信扫一扫,即可进行扫码打赏哦

