今天的干货,不是一般的干,噎死人那种干。没下面这些准备的话直接退出吧,回去度娘啊谷哥啊弄懂是什么东西再回来。
知识储备必须有这些:
BitMap知识。概率论二项分布。泰勒展开。函数求极限。求期望值。求方差、标准差。log对数变换。极大似然估计。
来了喔。
真的来了喔。
我们先定义几个代数。
整个BitMap 有m个坑,还要有u个坑还没被占。我们已经假设了值经过 Hash 后近似服从独立均匀分布。
对事件进行定义:
A = “经过n个元素进行Hash后,第j个桶值为0”
则A出现的概率如上。意思就是坑为1的概率都是1/m,那么坑为0的概率为 (1 - 1/m),如此重复n次 ,就得到上面的式子了。
又因为每个桶都是独立的,所以整个BitMap的期望值为A的概率直接乘以m。
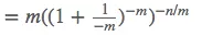
做一个小小的trick(小把戏)变换,也就是强行把内部满足某个求极限的式子。喏,这个。
当m和n都趋向于无穷大的时候,求一下极限,就得到了这个
这个是有u个坑的估计,而我们想知道的是基数n,做一下log变换。
根据极大似然估计的判定定理。
既然
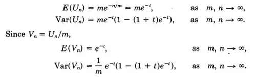
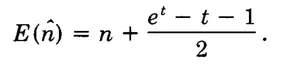
好了,刚刚我们已经得到期望,现在我们求一下方差和比率t的方差和期望,后面有用,至于怎么求的,自行找一下怎么求。
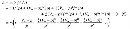
我们定义一下函数f。
然后对
取前三项。原论文里说,因为第二项展开的期望为0,所以保留前三项,求期望得到
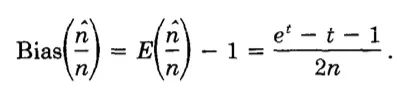
代入前面求到的期望值,化简可以得到。
所以直接除于n,可以得到偏差比率为:
至此,偏差比率的推导就完成啦,能看到这里的都是大神,说实话。
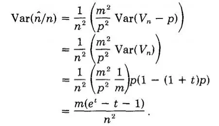
那标准差又是怎么样的呢?
还是它,泰勒展开。
这里启发性地取前两项。
一步一步推导下来,再配合前面求的方差,嗯相信你可以的。
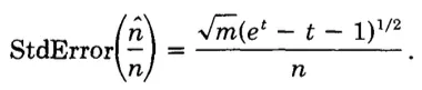
所以标准差就是这样。
至此,原理,偏差率,标准差都推导完毕,但是还有一点点问题。就是,这样去算有什么条件呢,对于m的取值?启发性地取泰勒展开前三项和前两项又分别代表什么?这个大家自己去论文看,我要是开心,我可能也会说说看。
是不是很干货?我也知道很干,但是真的要细细阅读,读完最好搭配上原始论文好好看一下,我看了蛮久的说实话。
这个阶段,可以认为基础踏实阶段已经把 20% 学习得比较好了,可以暂时放在旁边一小段时间了,至少在思考的时候要放下。这个阶段思维模式要有一阵转变,对于业务中使用到的任何技术,都应该是不惑的程度,不要经常性地钻入到基础踏实阶段的牛角尖里边,认真思考关于业务需求、业务流程、模型、安全、部署 等方面的事情。
协同合作阶段
协同合作阶段,主要是关注合作伙伴的状态是否满足预期,关注对于团队成员的公共贡献,关注自己对于整个项目的整体的贡献。需要自己实现的业务逻辑那就自己实现,需要帮助被人设计的就帮助别人设计。这个阶段可以认为 80% 的业务需求对于你来说都没有什么大的难度了,驾轻就熟适当,任何需求在你眼中都是在一瞬间就能描述出流程、逻辑、部署事宜,不需要太多关注。
不同的阶段,我们有不同的思维模式,也有不同的努力点,别让这些槛阻碍着你的迭代式成长。基础踏实阶段关注基础,业务服务阶段关注实现路径,协同合作阶段关注伙伴。可以不断迭代踏实更加深的基础,但不要在同一时间来回切换,影响效率,原地踏步,阻碍自己的迭代式成长。
共同学习,写下你的评论
评论加载中...
作者其他优质文章












