讲到PHP开发,就一定会提到fastcgi和php-fpm,这两个东西对PHP的性能有着至关重要的作用。在百度实习的这段时间里,用到的ODP环境就是用的php-fpm,但一直以来对它一无所知,甚至对整个PHP都概念模糊,这两天任务提前完成,借此机会对PHP做一点深入的了解。
Web服务器
PHP作为一种专门为Web开发而生的服务端语言,其实现必须借助Web服务器,常见的PHP架构有LAMP和LNMP,找张图片解释了PHP的访问情况。
Apache处理PHP请求
mod_php模式
可以看出请求是发送到Apache,之后由Apache来解析处理PHP并返回结果给客户端。当我们使用LAMP架构时,需要改动Apache的配置文件httpd.conf
加入如下两句 LoadModule phpx_module PHP_ROOT/phpxapache2_2.dllAddType appliaction/x-httpd-php.php 将下面语句做如下修改<IfModule dir_module> DirectoryIndex index.html</IfModule>改为 <IfModule dir_module> DirectoryIndex index.html index.htm index.php index.phtml</IfModule>
使用LoadModule来加载phpx_module(x为PHP版本号)。可以理解为将PHP作为Apache的一个子模块来运行,当请求访问PHP时,Apache就会调用phpx_module来解析PHP代码。
php_module是如何解析PHP代码的呢?——通过sapi。
Apache和PHP与sapi的关系如下图:
Apache和PHP与sapi的关系
sapi就是一个中间层,提供和外部通信的接口,类似于socket,使得PHP可以和其他应用进行数据交互。PHP提供了多种sapi,如给Apache和Nginx的php_module,给IIS的ISAPI等。
Apache调用PHP的执行过程:
Apache -> httpd -> php_module -> sapi -> PHP
总之,Web服务器通过php_module方式解析执行PHP的模式即为mod_php。
mod_fastcgi模式
PHP的sapi的另一种方式就是提供cgi模式,现在cgi已经被fastcgi取代。
所谓cgi,就是common gateway interface,当Web服务器收到请求,就会把请求交给cgi程序(如PHP的fastcgi),cgi就将请求做处理(解析PHP),然后将结果返回给Web服务器,Web服务器再将请求返回给客户端。
cgi的不足之处就是每次请求都会有启动和退出的过程,也就是饱受诟病的fork-and-execute模式,在大量并发的请况下就完蛋了。
fastcgi的诞生弥补这一不足,它的原理是早早启动好等待请求,在响应完请求后不会退出,继续等待下一个请求。
利用fastcgi的运行方式称为mod_fastcgi。
对比一下mod_php和mod_fastcgi的不同。前者是将PHP作为Web服务器的一个模块来运行,PHP与服务器结合度大。后者是将fastcgi作为中间过程,PHP和Web服务器只通过fastcgi来完成请求与响应。
mod_php模式
mod_php模式下,Apache每接受一个请求,就会产生一个进程来连接PHP通过sapi完成请求,在高并发的情况下,显然服务器会无法承受。
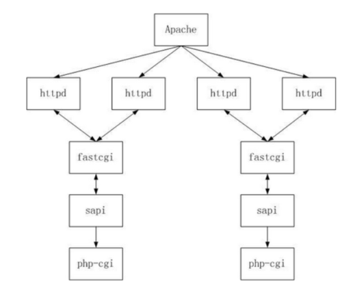
mod-fastcgi模式
这张图可以看出,每当有请求到达时,httpd会调用sapi将请求传递给PHP,完成后不退出,等待下一请求。并发性能大大提高。
php-fpm
磨刀不误砍柴工,前面的讲解只为引出php-fpm。php-fpm是做什么的呢?其实就是用来辅助fastcgi的。
fastcgi是一种与平台无关,与语言无关的接口实现,只需要不同语言按照规定方式实现即可完成与Web服务器的通信。上图所示的php-cgi就是PHP自带的fastcgi管理器。
网上看到的php-cgi的问题主要有两点:
1.php-cgi变更php.ini陪之后需要重启php-cgi才能使新的php.ini生效,不能平滑重启。 2.若直接杀死php-cgi,PHP便无法运行
php-fpm完美解决了上述不足,是一款专用的fastcgi管理器。
总之,php-fpm的作用就是专门管理PHP中的fastcgi,使PHP在高并发的情况下也能安全稳定的与Web服务器合作,完成请求响应过程。
作者:Chuck_Hu
链接:https://www.jianshu.com/p/d095cbcbcf1b
來源:简书
著作权归作者所有。商业转载请联系作者获得授权,非商业转载请注明出处。
共同学习,写下你的评论
评论加载中...
作者其他优质文章



