冒泡排序
title: 冒泡排序
tags: 数据结构与算法之美
author: 辰砂
1.排序过程
起泡排序(Bubble Sort):首先将第一个记录的关键字同第二个记录的关键字进行比较,或为逆序,则交换,依此类推,直至第n-1个记录和第n个记录的关键字进行比较为止。判别起泡排序结束的条件应该是在一趟排序过程中没有进行交换记录的操作。
基本思想:每趟不断将记录两两比较,并按“前小后大” 规则交换
例:(21,25,49, 25*,16, 08)
21,25,49, 25*,16, 08 
21,25,25*,16, 08 , 49
21,25, 16, 08 ,25*,49
21,16, 08 ,25, 25*,49
16,08 ,21, 25, 25*,49
08,16, 21, 25, 25*,49
优点:每趟结束时,不仅能挤出一个最大值到最后面位置,还能同时部分理顺其他元素;
一旦下趟没有交换,还可提前结束排序
2.算法分析
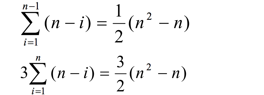
设对象个数为n,比较次数和移动次数与初始排列有关
最好情况下:只需 1趟排序,比较次数为 n-1,不移动
最坏情况下:需 n-1趟排序,第i趟比较n-i次,移动3(n-i)次
若出现各种可能排列的概率相同,则可取最好情况和最坏情况的平均情况
时间复杂度为 o(n2) 空间复杂度为 o(1) 是一种稳定的排序方法
3.完整代码示例
/**
 * @description: 冒泡排序
 * 冒泡排序是一种简单的排序算法。它重复地走访过要排序的数列,
 * 一次比较两个元素,如果它们的顺序错误就把它们交换过来。
 * 走访数列的工作是重复地进行直到没有再需要交换,也就是说该数列已经排序完成。这个算法的名字由来是因为越小的元素会经由交换慢慢“浮”到数列的顶端。
 *
 * 1.1 算法描述
 * 比较相邻的元素。如果第一个比第二个大,就交换它们两个;
 * 对每一对相邻元素作同样的工作,从开始第一对到结尾的最后一对,这样在最后的元素应该会是最大的数;
 * 针对所有的元素重复以上的步骤,除了最后一个;
 * 重复步骤1~3,直到排序完成。
 **/public class BubbleSort {    public static void main(String[] args) {
    }    public static void bubbleSort(int array[]){        int len = array.length;        for (int i = 0; i < len - 1; i++) {            for (int j = 0; j < len - 1 - i; j++) {                if (array[j] > array[j+1]) {        // 相邻元素两两对比
                    int temp = array[j+1];        // 元素交换
                    array[j+1] = array[j];
                    array[j] = temp;
                }
            }
        }
    }
}
					点击查看更多内容
					为 TA 点赞
										
				 评论
				共同学习,写下你的评论
评论加载中...
作者其他优质文章
					正在加载中
				
			感谢您的支持,我会继续努力的~
		扫码打赏,你说多少就多少
		赞赏金额会直接到老师账户
		支付方式
		打开微信扫一扫,即可进行扫码打赏哦
	 
                 
            
 
			 
					