遗传算法
照例先给出科学定义:
遗传算法(Genetic Algorithm, GA)起源于对生物系统所进行的计算机模拟研究。它是模仿自然界生物进化机制发展起来的随机全局搜索和优化方法,借鉴了达尔文的进化论和孟德尔的遗传学说。其本质是一种高效、并行、全局搜索的方法,能在搜索过程中自动获取和积累有关搜索空间的知识,并自适应地控制搜索过程以求得最佳解。
再给出相关术语:(各位看看就好,后面都会涉及到,再细说)
基因型(genotype):性状染色体的内部表现;
表现型(phenotype):染色体决定的性状的外部表现,或者说,根据基因型形成的个体的外部表现;
进化(evolution):种群逐渐适应生存环境,品质不断得到改良。生物的进化是以种群的形式进行的。
适应度(fitness):度量某个物种对于生存环境的适应程度。
选择(selection):以一定的概率从种群中选择若干个个体。一般,选择过程是一种基于适应度的优胜劣汰的过程。
复制(reproduction):细胞分裂时,遗传物质DNA通过复制而转移到新产生的细胞中,新细胞就继承了旧细胞的基因。
交叉(crossover):两个染色体的某一相同位置处DNA被切断,前后两串分别交叉组合形成两个新的染色体。也称基因重组或杂交;
变异(mutation):复制时可能(很小的概率)产生某些复制差错,变异产生新的染色体,表现出新的性状。
编码(coding):DNA中遗传信息在一个长链上按一定的模式排列。遗传编码可看作从表现型到基因型的映射。
解码(decoding):基因型到表现型的映射。
个体(individual):指染色体带有特征的实体;
种群(population):个体的集合,该集合内个体数称为种群
的大小。
遗传算法的有趣应用很多,诸如寻路问题,8数码问题,囚犯困境,动作控制,找圆心问题(在一个不规则的多边形中,寻找一个包含在该多边形内的最大圆圈的圆心),TSP问题,生产调度问题,人工生命模拟等。下面我以袋鼠为例子讲讲遗传算法。(因为袋鼠会跳)
遗传算法中每一条染色体,对应着遗传算法的一个解决方案,一般我们用适应性函数(fitness function)来衡量这个解决方案的优劣。所以从一个基因组到其解的适应度形成一个映射。可以把遗传算法的过程看作是一个在多元函数里面求最优解的过程。可以这样想象,这个多维曲面里面有数不清的“山峰”,而这些山峰所对应的就是局部最优解。而其中也会有一个“山峰”的海拔最高的,那么这个就是全局最优解。而遗传算法的任务就是尽量爬到最高峰,而不是陷落在一些小山峰。(另外,值得注意的是遗传算法不一定要找“最高的山峰”,如果问题的适应度评价越小越好的话,那么全局最优解就是函数的最小值,对应的,遗传算法所要找的就是“最深的谷底”)
问题的提出与解决方案:
让我们先来考虑考虑下面这个问题的解决办法。
已知一元函数:
现在要求在既定的区间内找出函数的最大值
“袋鼠跳”问题
既然我们把函数曲线理解成一个一个山峰和山谷组成的山脉。那么我们可以设想所得到的每一个解就是一只袋鼠,我们希望它们不断的向着更高处跳去,直到跳到最高的山峰(尽管袋鼠本身不见得愿意那么做)。所以求最大值的过程就转化成一个“袋鼠跳”的过程。
作为对比下面简单介绍“袋鼠跳”的几种方式。
1. 爬山法(最速上升爬山法):
从搜索空间中随机产生邻近的点,从中选择对应解最优的个体,替换原来的个体,不断重复上述过程。因为爬山法只对“邻近”的点作比较,所以目光比较“短浅”,常常只能收敛到离开初始位置比较近的局部最优解上面。对于存在很多局部最优点的问题,通过一个简单的迭代找出全局最优解的机会非常渺茫。(在爬山法中,袋鼠最有希望到达最靠近它出发点的山顶,但不能保证该山顶是珠穆朗玛峰,或者是一个非常高的山峰。因为一路上它只顾上坡,没有下坡。)
2. 模拟退火:
这个方法来自金属热加工过程的启发。在金属热加工过程中,当金属的温度超过它的熔点(Melting Point)时,原子就会激烈地随机运动。与所有的其它的物理系统相类似,原子的这种运动趋向于寻找其能量的极小状态。在这个能量的变迁过程中,开始时,温度非常高, 使得原子具有很高的能量。随着温度不断降低,金属逐渐冷却,金属中的原子的能量就越来越小,最后达到所有可能的最低点。利用模拟退火的时候,让算法从较大的跳跃开始,使到它有足够的“能量”逃离可能“路过”的局部最优解而不至于限制在其中,当它停在全局最优解附近的时候,逐渐的减小跳跃量,以便使其“落脚 ”到全局最优解上。(在模拟退火中,袋鼠喝醉了,而且随机地大跳跃了很长时间。运气好的话,它从一个山峰跳过山谷,到了另外一个更高的山峰上。但最后,它渐渐清醒了并朝着它所在的峰顶跳去。)
3. 遗传算法:
模拟物竞天择的生物进化过程,通过维护一个潜在解的群体执行了多方向的搜索,并支持这些方向上的信息构成和交换。是以面为单位的搜索,比以点为单位的搜索,更能发现全局最优解。(在遗传算法中,有很多袋鼠,它们降落到喜玛拉雅山脉的任意地方。这些袋鼠并不知道它们的任务是寻找珠穆朗玛峰。但每过几年,就在一些海拔高度较低的地方射杀一些袋鼠,并希望存活下来的袋鼠是多产的,在它们所处的地方生儿育女。)(或者换个说法。从前,有一大群袋鼠,它们被莫名其妙的零散地遗弃于喜马拉雅山脉。于是只好在那里艰苦的生活。海拔低的地方弥漫着一种无色无味的毒气,海拔越高毒气越稀薄。可是可怜的袋鼠们对此全然不觉,还是习惯于活蹦乱跳。于是,不断有袋鼠死于海拔较低的地方,而越是在海拔高的袋鼠越是能活得更久,也越有机会生儿育女。就这样经过许多年,这些袋鼠们竟然都不自觉地聚拢到了一个个的山峰上,可是在所有的袋鼠中,只有聚拢到珠穆朗玛峰的袋鼠被带回了美丽的澳洲。)
遗传算法的实现过程
遗传算法的实现过程实际上就像自然界的进化过程那样。首先寻找一种对问题潜在解进行“数字化”编码的方案。(建立表现型和基因型的映射关系)然后用随机数初始化一个种群(那么第一批袋鼠就被随意地分散在山脉上),种群里面的个体就是这些数字化的编码。接下来,通过适当的解码过程之后(得到袋鼠的位置坐标),用适应性函数对每一个基因个体作一次适应度评估(袋鼠爬得越高,越是受我们的喜爱,所以适应度相应越高)。用选择函数按照某种规定择优选择(我们要每隔一段时间,在山上射杀一些所在海拔较低的袋鼠,以保证袋鼠总体数目持平。)。让个体基因变异(让袋鼠随机地跳一跳)。然后产生子代(希望存活下来的袋鼠是多产的,并在那里生儿育女)。遗传算法并不保证你能获得问题的最优解,但是使用遗传算法的最大优点在于你不必去了解和操心如何去“找”最优解。(你不必去指导袋鼠向那边跳,跳多远。)而只要简单的“否定”一些表现不好的个体就行了。(把那些总是爱走下坡路的袋鼠射杀,这就是遗传算法的精粹!)
所以我们总结出遗传算法的一般步骤:
开始循环直至找到满意的解。
1.评估每条染色体所对应个体的适应度。
2.遵照适应度越高,选择概率越大的原则,从种群中选择两个个体作为父方和母方。
3.抽取父母双方的染色体,进行交叉,产生子代。
4.对子代的染色体进行变异。
5.重复2,3,4步骤,直到新种群的产生。
结束循环。
接下来,我们将详细地剖析遗传算法过程的每一个细节。
编制袋鼠的染色体----基因的编码方式
受到人类染色体结构的启发,我们可以设想一下,假设目前只有“0”,“1”两种碱基,我们也用一条链条把他们有序的串连在一起,因为每一个单位都能表现出 1 bit的信息量,所以一条足够长的染色体就能为我们勾勒出一个个体的所有特征。这就是二进制编码法,染色体大致如下:
010010011011011110111110
上面的编码方式虽然简单直观,但明显地,当个体特征比较复杂的时候,需要大量的编码才能精确地描述,相应的解码过程(类似于生物学中的DNA翻译过程,就是把基因型映射到表现型的过程。)将过分繁复,为改善遗传算法的计算复杂性、提高运算效率,提出了浮点数编码。染色体大致如下:
1.2 –3.3 – 2.0 –5.4 – 2.7 – 4.3
(注:还有一种编码方式叫符号编码)
那么我们如何利用这两种编码方式来为袋鼠的染色体编码呢?因为编码的目的是建立表现型到基因型的映射关系,而表现型一般就被理解为个体的特征。比如人的基因型是46条染色体所描述的却能解码成一个眼,耳,口,鼻等特征各不相同的活生生的人。所以我们要想为“袋鼠”的染色体编码,我们必须先来考虑“袋鼠”的“个体特征”是什么。也许有的人会说,袋鼠的特征很多,比如性别,身长,体重,也许它喜欢吃什么也能算作其中一个特征。但具体在解决这个问题的情况下,我们应该进一步思考:无论这只袋鼠是长短,肥瘦,黑白只要它在低海拔就会被射杀,同时也没有规定身长的袋鼠能跳得远一些,身短的袋鼠跳得近一些。当然它爱吃什么就更不相关了。我们由始至终都只关心一件事情:袋鼠在哪里。因为只要我们知道袋鼠在那里,我们就能做两件必须去做的事情:
(1)通过查阅喜玛拉雅山脉的地图来得知袋鼠所在的海拔高度(通过自变量求适应函数的值。)以判断我们有没必要把它射杀。
(2)知道袋鼠跳一跳(交叉和变异)后去到哪个新位置。
如果我们一时无法准确的判断哪些“个体特征”是必要的,哪些是非必要的,我们常常可以用到这样一种思维方式:比如你认为袋鼠的爱吃什么东西非常必要,那么你就想一想,有两只袋鼠,它们其它的个体特征完全同等的情况下,一只长得黑,另外一只长得不是那么黑。你会马上发现,这不会对它们的命运有丝毫的影响,它们应该有同等的概率被射杀!只因它们处于同一个地方。(值得一提的是,如果你的基因编码设计中包含了袋鼠黑不黑的信息,这其实不会影响到袋鼠的进化的过程,而那只攀到珠穆朗玛峰的袋鼠黑与白什么的也完全是随机的,但是它所在的位置却是非常确定的。)
以上是对遗传算法编码过程中经常经历的思维过程,必须把具体问题抽象成数学模型,突出主要矛盾,舍弃次要矛盾。只有这样才能简洁而有效的解决问题。
既然确定了袋鼠的位置作为个体特征,具体来说位置就是横坐标。那么接下来,我们就要建立表现型到基因型的映射关系。就是说如何用编码来表现出袋鼠所在的横坐标。由于横坐标是一个实数,所以说透了我们就是要对这个实数编码。回顾我们上面所介绍的两种编码方式,最先想到的应该就是,对于二进制编码方式来说,编码会比较复杂,而对于浮点数编码方式来说,则会比较简洁。恩,正如你所想的,用浮点数编码,仅仅需要一个浮点数而已。而下面则介绍如何建立二进制编码到一个实数的映射。
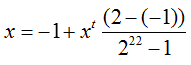
明显地,一定长度的二进制编码序列,只能表示一定精度的浮点数。譬如我们要求解精确到六位小数,由于区间长度为2 – (-1) = 3 ,为了保证精度要求,至少把区间[-1,2]分为3 × 106等份。又因为
所以编码的二进制串至少需要22位。
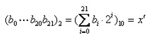
把一个二进制串(b0,b1,....bn)转化位区间里面对应的实数值通过下面两个步骤。
(1)将一个二进制串代表的二进制数转化为10进制数:
(2)对应区间内的实数:
(像极了模数转换)
例如一个二进制串<1000101110110101000111>表示实数值0.637197。
(纠正一个错误,这里是-1)
二进制串<0000000000000000000000>和<1111111111111111111111>则分别表示区间的两个端点值-1和2。
好了,目前为止我们把袋鼠的染色体给研究透了,让我们继续跟进袋鼠的进化旅程
共同学习,写下你的评论
评论加载中...
作者其他优质文章







