程序的功能单位不宜过大,太大的函数容易掩盖错误,就像一个大城市隐藏着逃犯一样。这样的软件很难阅读,很难测试,也很难调试。(《自下而上的编程》,by Paul Graham)
向量
- 为什么线性代数这么重要?从研究一个数拓展到研究一组数
- 一组数的基本表示方法——向量(Vector)
- 向量(Vector)是线性代数研究的基本元素(一组有序的数)
- 一个数:666 一组数:(6,66,666)
- 最基本的出发点:表示方向
- 两个视角看似不同,但可以互相转换
- 一个方向,就是一个点(有向线段 ≈ 空间中的点)
- 空间中的一个点,可以看做从原点指向这个点的一个方向
- 在学习初始,使用方向的视角,更直观,更形象
- 定义
- 和向量相对应,一个数字,称为标量
- 代数,用符号代表数。和标量相区别,向量的符号画箭头
- 个别情况下,尤其是几何学中,我们会考虑向量的起始点
向量相加
- 先向x移动5个单位
- 再向y移动2个单位
- 再向x移动2个单位
- 再向y移动5个单位
- 先向x移动5个单位
- 再向y移动2个单位
- 再向x移动2个单位
- 再向y移动5个单位
- 总共向x移动7个单位
- 总共向y移动7个单位
数量相乘
k×(a,b)^T= (ka,kb)^T- 向x移动k次a个单位
- 再向y移动k次b个单位
- 总共向x移动ka个单位
- 总共向y移动kb个单位
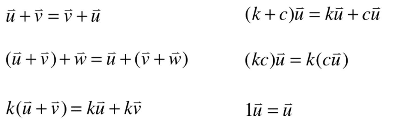
基本性质
零向量
- 零向量O没有箭头
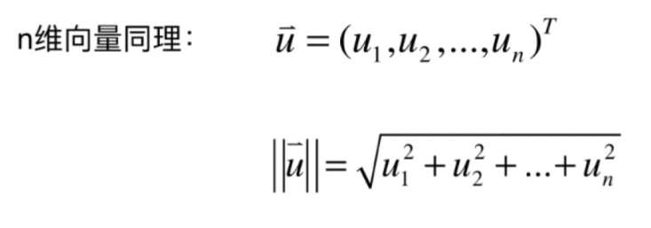
长度(向量的模)
单位向量 unit vector
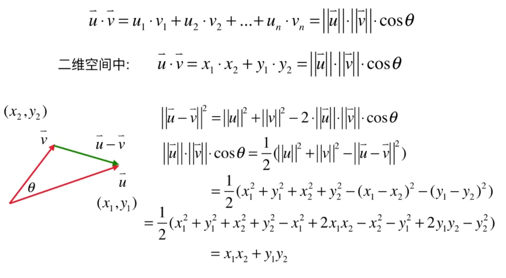
点乘
直观化理解
- x1和y2没有关系,结果为零;x2和y1没有关系,结果为零
点击查看更多内容
为 TA 点赞
评论
共同学习,写下你的评论
评论加载中...
作者其他优质文章
正在加载中
感谢您的支持,我会继续努力的~
扫码打赏,你说多少就多少
赞赏金额会直接到老师账户
支付方式
打开微信扫一扫,即可进行扫码打赏哦


















