逻辑回归简介
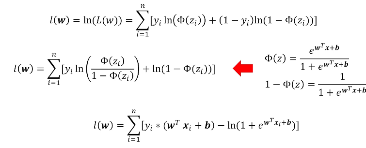
LR–用极大似然估计建立损失函数
用梯度上升法最优化参数求解
1.传统的求解方法
2.梯度上升算法‘
伪代码实现
逻辑回归的代码实现
数据集
import sys
from numpy import *
# fnfileName
def loadData(fn)
dataMat = []
labelMat = []
fi = open('.' + fn)
for line in fi
fd = line.strip().split('t')
dataMat.append( [1.0,float(fd[0]),float(fd[1])] )
#要将string型转换成float型
#[1.0,float(fd[0]),float(fd[1])] 对应于: [1,x1,x2]
labelMat.append(int (fd[2]))
return dataMat,labelMat
#更新W
def getW(dataMat,labelMat)
#要涉及矩阵乘法,需要先将List类型数据转换成Matrix
dataMatrix = mat(dataMat) #400,3
#错误代码: labelMatrix = mat(labelMat) 因为:List --Matrix后:1,400
labelMatrix = mat(labelMat).transpose() #transpose后:400,1
#得到特征(data)的行数和列数——为了接下来可以定义W的维度
m,n = shape(dataMatrix) #400,3
#知道特征的列数后,初始化W,先初始化为1
weights = ones((n,1)) #3,1
alpha = 0.01
max_loop = 200
for i in range(max_loop)
y_pre = sigmoid(dataMatrix weights ) #400,1
#error = 真值 - 预测值
error = labelMatrix - y_pre #400,1
#梯度: X error
#错误代码: grad = dataMatrix error (400,3)和(400,1)相乘会报错
#tranpose (3,400) (400,1) = (3,1)
grad = dataMatrix.transpose() error #3,1
weights = weights + alpha grad
return
def sigmoid(z)
return 1.0 (1 + exp(-z))
if __name__ == '__main__'
# 2 x1 - x2 - 4
#-4 1 + 2 x1 - x2 = [1,x1,x2] [-4,2,-1].T
#x(400,3) y(400,1) w(3,1)
x,y = loadData('trainSet.txt')
tx,ty = loadData('testSet.txt')
w = getW(x,y)
y_pre = sigmoid(mat(tx) * W) #400,1
y_pre_label = (sign(y_pre - 0.5) + 1)/2
#阈值 : 0.5
#sign(): 将取值变成-1和1
#(sign(y_pre - 0.5) + 1)/2:将结果变成0和1
# -----指---标---计---算-----
# -----查准率---召回率---F1_score--
#precision = TP/(TP + FP)
#recall = TP/(TP + FN)
#F1 = 2pr/(p + r)
#要使用ty
tp = 0
tn = 0
fp = 0
fn = 0
for k in range(len(ty)):
if y_pre_label[k] == 1 and ty[k] == 1:
tp += 1
if y_pre_label[k] == 0 and ty[k] == 0:
tn += 1
if y_pre_label[k] == 1 and ty[k] == 0:
fp += 1
if y_pre_label[k] == 0 and ty[k] == 1:
fn += 1
点击查看更多内容
为 TA 点赞
评论
共同学习,写下你的评论
评论加载中...
作者其他优质文章
正在加载中
感谢您的支持,我会继续努力的~
扫码打赏,你说多少就多少
赞赏金额会直接到老师账户
支付方式
打开微信扫一扫,即可进行扫码打赏哦












