Logistic Regression(逻辑回归)是机器学习中一个非常非常常见的模型,在实际生产环境中也常常被使用,是一种经典的分类模型(不是回归模型,不是回归模型,不是。虽然是叫逻辑回归,其实是分类模型。我认为这是因为逻辑回归用了和回归类似的方法来解决了分类问题)。在做分类的时候,很多人都会用逻辑回归先试下,再用复杂的。本文主要介绍了Logistic Regression(逻辑回归)模型的原理以及参数估计、公式推导方法。
模型构建
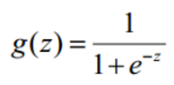
假设有一个二分类问题,输出为y∈{0,1},而线性回归模型产生的预测值为z=wx+b是实数值,我们希望有一个理想的阶跃函数来帮我们实现z值到0/1值的转化。然而该阶跃函数是不连续,我们希望有一个单调可微的函数来供我们使用,于是便找到了Sigmoid function来替代。
Sigmoid 函数
公式:
性质:自变量取值为任意实数,值域[0,1]。
解释:将任意的输入映射到了[0,1]区间。我们在线性回归中可以得到一个预测值,再将该值映射到Sigmoid 函数中这样就完成了由值到概率的转换,也就是分类任务。
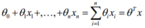
预测函数:
其中
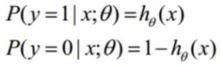
因此对于输入x分类结果为类别1和类别0的概率分别为:
整合:
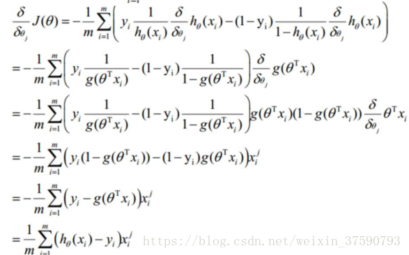
根据上式,接下来我们可以使用概率论中极大似然估计的方法去求解损失函数,取似然函数为:
转换为对数似然:
最大似然估计就是要求得使



求偏导:
其中i表示第几个样本,j表示第几个特征。
参数更新:
Python代码:
共同学习,写下你的评论
评论加载中...
作者其他优质文章










