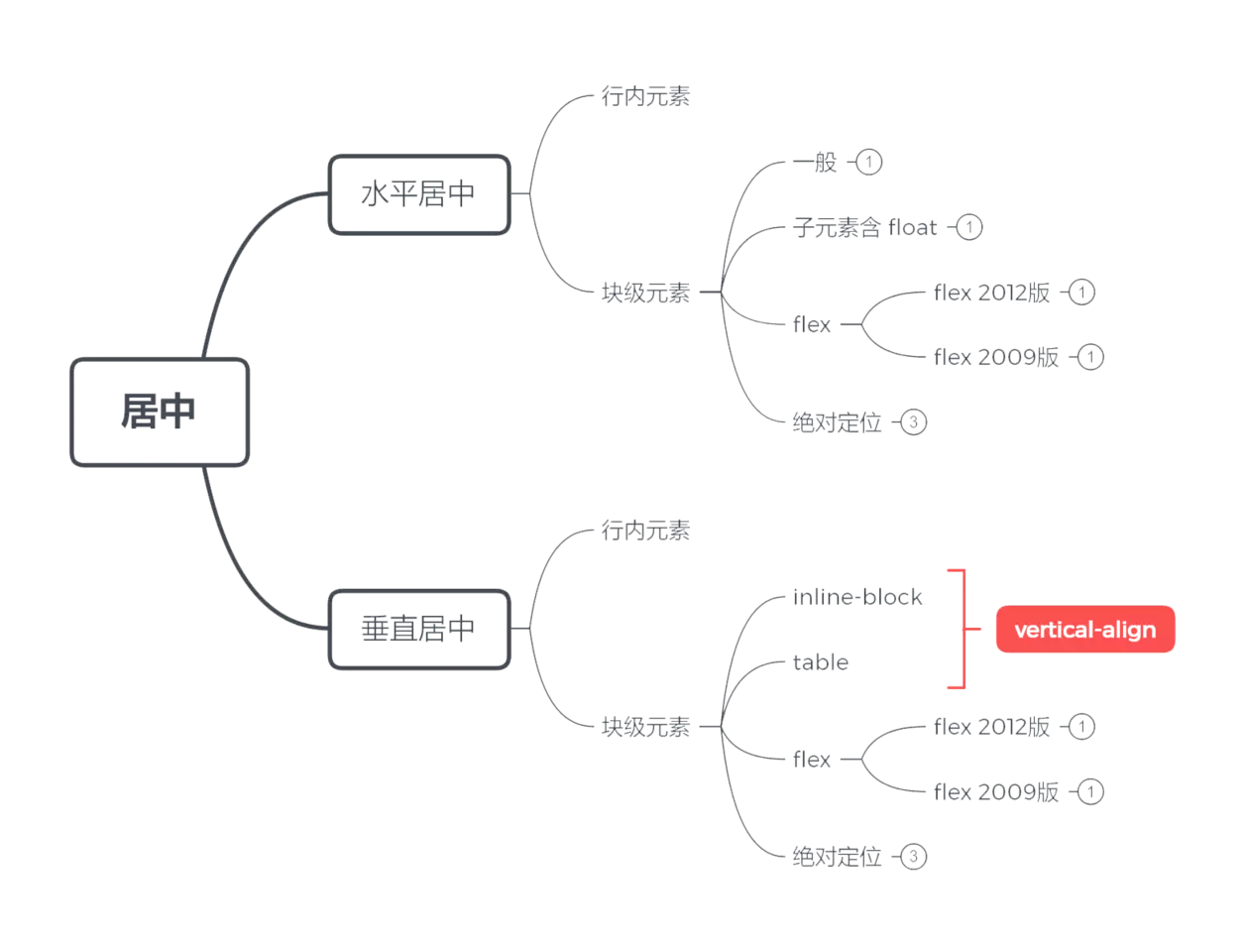
一、水平居中
1.1 行内元素
.parent {
text-align: center;
}
web前端开发学习Q-q-u-n: 784783012 ,分享开发工具,零基础,进阶视频教程,希望新手少走弯路
1.2 块级元素
1.2.1 块级元素一般居中方法
.son {
margin: 0 auto;
}
1.2.2 子元素含 float
.parent{
width:fit-content;
margin:0 auto;
}
.son {
float: left;
}
1.2.3 Flex 弹性盒子
1) flex 2012版
.parent {
display: flex;
justify-content: center;
}
2)flex 2009版
.parent {
display: box;
box-orient: horizontal;
box-pack: center;
}
1.2.4 绝对定位
1)transform
.son {
position: absolute;
left: 50%;
transform: translate(-50%, 0);
}
2)left: 50%
.son {
position: absolute;
width: 宽度;
left: 50%;
margin-left: -0.5*宽度
}
3)left/right: 0
.son {
position: absolute;
width: 宽度;
left: 0;
right: 0;
margin: 0 auto;
}
小结
以上是 CSS 水平居中的 8 种方法。
二、垂直居中
2.1 行内元素
.parent {
height: 高度;
}
.son {
line-height: 高度;
}
注:① 子元素 line-height 值为父元素 height 值。② 单行文本。
2.2 块级元素
2.2.1 行内块级元素
.parent::after, .son{
display:inline-block;
vertical-align:middle;
}
.parent::after{
content:'';
height:100%;
}
适应 IE7。
2.2.2 table
.parent {
display: table;
}
.son {
display: table-cell;
vertical-align: middle;
}
优点
- 元素高度可以动态改变, 不需再CSS中定义, 如果父元素没有足够空间时, 该元素内容也不会被截断。
缺点
- IE6~7, 甚至IE8 beta中无效。
2.2.3 Flex 弹性盒子
1)flex 2012版
.parent {
display: flex;
align-items: center;
}
优点
- 内容块的宽高任意, 优雅的溢出。
- 可用于更复杂高级的布局技术中。
缺点
- IE8/IE9不支持。
- 需要浏览器厂商前缀。
- 渲染上可能会有一些问题。
2)flex 2009版
.parent {
display: box;
box-orien: vertical;
box-pack: center;
}
优点
- 实现简单, 扩展性强。
缺点
- 兼容性差, 不支持IE。
2.2.4 绝对定位
1)transform
.son {
position: absolute;
top: 50%;
transform: translate( 0, -50%);
}
优点
- 代码少。
缺点
- IE8不支持, 属性需要追加浏览器厂商前缀, 可能干扰其他 transform 效果, 某些情形下会出现文本或元素边界渲染模糊的现象。
2)top: 50%
.son {
position: absolute;
top: 50%;
height: 高度;
margin-top: -0.5高度;
}
优点
- 适用于所有浏览器。
缺点
- 父元素空间不够时, 子元素可能不可见(当浏览器窗口缩小时,滚动条不出现时).如果子元素设置了overflow:auto, 则高度不够时, 会出现滚动条。
3)top/bottom: 0;
.son {
position: absolute;
top: 0;
bottom: 0;
margin: auto 0;
}
web前端开发学习Q-q-u-n: 784783012 ,分享开发工具,零基础,进阶视频教程,希望新手少走弯路
优点
- 简单。
缺点
- 没有足够空间时, 子元素会被截断, 但不会有滚动条。
三、小结
以上总结了水平居中、垂直居中各8个共16种方法。
点击查看更多内容
为 TA 点赞
评论
共同学习,写下你的评论
评论加载中...
作者其他优质文章
正在加载中
感谢您的支持,我会继续努力的~
扫码打赏,你说多少就多少
赞赏金额会直接到老师账户
支付方式
打开微信扫一扫,即可进行扫码打赏哦

