投稿015期 | 【五道题学习算法】数据结构与算法 - Tree
这些都是数据结构与算法,一部分方法是团队其他成员实现的,一部分我自己做的,有什么其他实现方法或错误,欢迎各位大佬指点,感谢。
一、什么是树?
1.树有什么特点,什么是二叉树和二叉搜索树(BST: Binary Search Tree)?
2.生活中常见的例子有哪些?
解析:
- 树有什么特点,什么是二叉树和二叉搜索树:
-
树是一种非线性的数据结构,以分层方式存储数据,用来表示有层级关系的数据。
-
每棵树至多只有一个根结点,根结点会有很多子节点,每个子节点只有一个父结点。
-
父结点和子节点是相对的。
- 生活中的例子:
如:家谱、公司组织架构图。
二、请实现二叉搜索树(BST),并实现以下方法:
insert(key):向树中插入一个新的键;search(key):树中查找一个键,如果节点存在返回true,不存在返回false;min():返回树中最小的值/键;max():返回树中最大的值/键;remove(key):移除某个键;
提示:所谓的键对应于之前章节所学的节点(Node)
class Node {
constructor(key){
this.key = key
this.left = null
this.right = null
}
}
class BST {
constructor(){
this.root = null
}
/**
* 插入一个节点
* @param {*} node 插入的位置节点
* @param {*} newNode 插入的节点
*/
insertNode (node, newNode){
if(newNode.key < node.key){
if(node.left === null && node.right === null){
node.left = newNode
}else if(node.left !== null && node.right === null){
node.right = newNode
}else{
this.insertNode(node.left, newNode)
}
}else{
if(node.left === null && node.right === null){
node.left = newNode
}else if(node.left !== null && node.right === null){
node.right = newNode
}else{
this.insertNode(node.right, newNode)
}
}
}
/**
* 插入操作
* @param {*} key
*/
insert (key){
let newNode = new Node(key)
if(this.root === null){
this.root = newNode
}else{
this.insertNode(this.root, newNode)
}
}
searchNode (node, key){
if(node === null) return false
if(key < node.key){
return this.searchNode(node.left, key)
}else if(key > node.key){
return this.searchNode(node.right, key)
}else{
return true
}
}
/**
* 搜索操作
* @param {*} key
*/
search (key){
return this.searchNode(this.root, key)
}
/**
* 最小值的节点
*/
min (){
let node = this.root
if(node === null) return null
while(node && node.left !== null){
node = node.left
}
return node.key
}
/**
* 最大值的节点
*/
max (){
let node = this.root
if(node === null) return null
while(node && node.right !== null){
node = node.right
}
return node.key
}
/**
* 找到最小节点
* @param {*} node
*/
findMinNode (node){
if(node === null) return null
while(node && node.left !== null){
node = node.left
}
return node
}
/**
* 删除一个节点
* @param {*} node
* @param {*} key
*/
removeNode (node, key){
if(node === null) return null
if(key < node.key){
node.left = this.removeNode(node.left, key)
return node
}else if(key > node.key){
node.right = this.removeNode(node.right, key)
return node
}else{
// 1.叶节点
if(node.left === null && node.right === null){
node = null
return node
}
// 2.只有一个子节点
if(node.left === null){
node = node.right
return node
}else if(node.right === null){
node = node.left
}
// 3.有两个子节点
let curNode = this.findMinNode(node.right)
node.key = curNode.key
node.right = this.removeNode(node.right, curNode.key)
return node
}
}
/**
* 删除一个节点
* @param {*} key
*/
remove (key){
if(this.root === null) return null
this.root = this.removeNode(this.root, key)
}
}
三、基于题二实现二叉搜索树扩展以下方法:
preOrderTraverse(): 通过先序遍历方式遍历所有节点;inOrderTraverse(): 通过中序遍历方式遍历所有节点;postOrderTraverse(): 通过后序遍历方式遍历所有节点;
提示:
- 先序:先访问根节点,然后以同样方式访问左子树和右子树;(根==>左==>右)
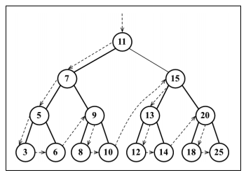
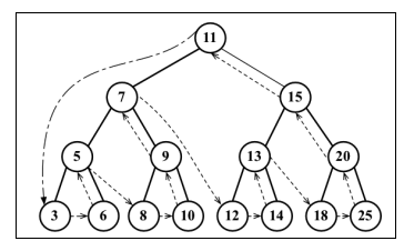
输出 =》 11 7 5 3 6 9 8 10 15 13 12 14 20 18 25
- 中序:先访问左子树,再访问根节点,最后访问右字数;以升序访问所有节点;(左==>根==>右)
输出 =》 3 5 6 7 8 9 10 11 12 13 14 15 18 20 25
- 后序:先访问叶子节点,从左子树到右子树,再到根节点。(左==>右==>根)
输出 =》 3 6 5 8 10 9 7 12 14 13 18 25 20 15 11
解析:
// 1. 先序
BST.prototype.preOrderTraverseNode = function(node, callback){
if(node !== null){
callback(node.key)
this.preOrderTraverseNode(node.left, callback)
this.preOrderTraverseNode(node.right, callback)
}
}
BST.prototype.preOrderTraverse = function(callback){
this.preOrderTraverseNode(this.root, callback)
}
// 2. 中序
BST.prototype.inOrderTraverseNode = function(node, callback){
if(node !== null){
this.inOrderTraverseNode(node.left, callback)
callback(node.key)
this.inOrderTraverseNode(node.right, callback)
}
}
BST.prototype.inOrderTraverse = function(callback){
this.inOrderTraverseNode(this.root, callback)
}
// 3. 后序
BST.prototype.postOrderTraverseNode = function(node, callback){
if(node !== null){
this.postOrderTraverseNode(node.left, callback)
this.postOrderTraverseNode(node.right, callback)
callback(node.key)
}
}
BST.prototype.postOrderTraverse = function(callback){
this.postOrderTraverseNode(this.root, callback)
}
四、请实现从上往下打印二叉树
给定的二叉树为:[3, 9 , 20, null, null, 15, 7]
3
/ \
9 20
/ \
15 7
请实现一个 printLevelOrder 方法,输出以下结果:
[
[3],
[9, 20],
[15, 7]
]
来源:102.二叉树的层次遍历
解析:
- 方法一:
BST.prototype.printLevelOrder = function (root, arr = [], i = 0){
if (root && (root.key || root.key === 0)) {
!arr[i] && (arr[i] = [])
arr[i].push(root.key)
i++
root.left && this.printLevelOrder(root.left, arr, i)
root.right && this.printLevelOrder(root.right, arr, i)
}
return arr
}
- 方法二:
BST.prototype.printLevelOrder = function (){
if(this.root === null) return []
let result = [], queue = [this.root]
while(true){
let len = queue.length, arr = []
while(len > 0){
console.log(queue)
let node = queue.shift()
len -= 1
arr.push(node.key)
if(node.left !== null) queue.push(node.left)
if(node.right !== null) queue.push(node.right)
}
if(arr.length === 0) return result
result.push([...arr])
}
}
五、给定一个二叉树,判断其是否是一个有效的二叉搜索树。
假设一个二叉搜索树具有如下特征:
- 节点的左子树只包含小于当前节点的数。
- 节点的右子树只包含大于当前节点的数。
- 所有左子树和右子树自身必须也是二叉搜索树。
示例 1:
输入:
2
/ \
1 3
输出: true
示例 2:
输入:
5
/ \
1 4
/ \
3 6
输出: false
解释: 输入为: [5,1,4,null,null,3,6]。
根节点的值为 5 ,但是其右子节点值为 4 。
代码实现:
/**
* 二叉树节点定义
*/
function TreeNode(val) {
this.val = val;
this.left = this.right = null;
}
/**
- @param {TreeNode} root
- @return {boolean}
*/
function isValidBST(root) {};
来源:99.验证二叉搜索树
解析:
function isValidBST(root) {
let arr = []
function inOrderTraverse(node){
if(node === null) return;
node.left && inOrderTraverse(node.left);
arr.push(node.val);
node.right && inOrderTraverse(node.right);
}
inOrderTraverse(root)
for(let i = 0; i < arr.length - 1; i++){
if(arr[i] >= arr[i+1]) return false
}
return true
};
关于
作者:王平安
来源:前端自习课
点击查看更多内容
为 TA 点赞
评论
共同学习,写下你的评论
评论加载中...
作者其他优质文章
正在加载中
感谢您的支持,我会继续努力的~
扫码打赏,你说多少就多少
赞赏金额会直接到老师账户
支付方式
打开微信扫一扫,即可进行扫码打赏哦


