投稿015期 | 【五道题学习算法】数据结构与算法 - LinkedList
这些都是数据结构与算法,一部分方法是团队其他成员实现的,一部分我自己做的,有什么其他实现方法或错误,欢迎各位大佬指点,感谢。
一、链表是什么?与数组有什么区别?生活中有什么案例?
解析:
概念参考阅读 链表 —— 维基百科
1.概念:
链表(Linked list)是一种上一个元素的引用指向下一个元素的存储结构,链表通过指针来连接元素与元素;
链表是线性表的一种,所谓的线性表包含顺序线性表和链表,顺序线性表是用数组实现的,在内存中有顺序排列,通过改变数组大小实现。而链表不是用顺序实现的,用指针实现,在内存中不连续。意思就是说,链表就是将一系列不连续的内存联系起来,将那种碎片内存进行合理的利用,解决空间的问题。
所以,链表允许插入和删除表上任意位置上的节点,但是不允许随即存取。链表有很多种不同的类型:单向链表、双向链表及循环链表。
2.与数组的区别:
-
相同:
两种结构均可实现数据的顺序存储,构造出来的模型呈线性结构。 -
不同:
链表是链式的存储结构;数组是顺序的存储结构。
链表通过指针来连接元素与元素,数组则是把所有元素按次序依次存储。
链表的插入删除元素相对数组较为简单,不需要移动元素,且较为容易实现长度扩充,但是寻找某个元素较为困难。
数组寻找某个元素较为简单,但插入与删除比较复杂,由于最大长度需要再编程一开始时指定,故当达到最大长度时,扩充长度不如链表方便。
数组和链表一些操作的时间复杂度对比:
数组:
- 查找复杂度:O(1)
- 添加/删除复杂度:O(n)
链表:
- 查找复杂度:O(n)
- 添加/删除复杂度:O(1)
3.生活中的案例:
火车,是由一些列车厢连接起来;
寻宝游戏,每个线索都是下一个线索地点的指针。
二、请实现一个链表,并实现以下方法
append(element):向列表尾部添加一个新的元素。insert(position, element):向列表指定位置插入一个新的元素。remove(element):从列表中移除并返回特定元素(若有多个相同元素则取第一次出现的情况)。indexOf(element):返回元素在列表的索引(若有多个相同元素则取第一次出现的情况),如果列表中没有该元素则返回-1。removeAt(position):从列表中,移除并返回特定位置的一项。isEmpty():如果列表不含任何元素,返回true,否则返回false。size():返回列表中元素个数,与数组的length属性类似。toString():由于列表项使用Node类,需要重写继承自 JavaScript 对象默认的toString()方法,让其只输出元素的值。
提示:Web 端优先使用 ES6 以上的语法实现。
解析:
class Node {
constructor(element){
this.element = element
this.next = null
}
}
class LinkedList {
constructor(){
this.length = 0
this.head = null
}
/**
* 添加元素(末尾添加)
* @param {*} element 添加的元素
*/
append(element){
let node = new Node(element)
if(!this.head){
this.head = node
}else{
let current = this.head
// 查找最后一项
while(current.next){
current = current.next
}
// 将最后一下的next赋值为node,实现追加元素
current.next = node
}
this.length ++
}
/**
* 添加元素(指定位置)
* @param {Number} position 添加的位置
* @param {*} element 添加的元素
*/
insert(position, element){
if(position >= 0 && position <= this.length){
let node = new Node(element),
index = 0,
previous = null
if(position === 0){
node.next = this.head
this.head = node
}else{
let current = this.head
while(index++ < position){
previous = current
current = current.next
}
previous.next = node
node.next = current
}
this.length ++
}
}
/**
* 删除元素
* @param {*} element 删除的元素
* @return {*} 被删除的元素
*/
remove(element){
let current = this.head,
previous = null
if(element === this.head.element){
this.head = current.next
}else{
while(current.next && current.element !== element){
previous = current
current = current.next
}
previous.next = current.next
this.length --
return current.element
}
}
/**
* 删除元素(指定位置)
* @param {Number} position 删除元素的位置
* @return {*} 被删除的元素
*/
removeAt(position){
if(position >= 0 && position <= this.length){
let current = this.head,
index = 0,
previous = null
if(position === 0){ // 删除第一项
this.head = current.next
}else{
while(index++ < position){
previous = current
current = current.next
}
previous.next = current.next
}
this.length --
return current.element
}
}
/**
* 查找指定元素的位置
* @param {*} element 查找的元素
* @return {Number} 查找的元素的下标
*/
indexOf(element){
let current = this.head,
index = 0
while(current.next && current.element !== element){
current = current.next
index ++
}
return index === 0 ? -1 : index
}
/**
* 链表是否为空
* @return {Boolean}
*/
isEmpty(){
return this.length === 0
}
/**
* 链表的长度
* @return {Number}
*/
size(){
return this.length
}
/**
* 将链表转成字符串
* @return {String}
*/
toString(){
let current = this.head,
arr = new Array()
while(current.next){
arr.push(current.element)
current = current.next
}
arr.push(current.element)
return arr.toString()
}
}
let leo = new LinkedList()
leo.append(3)
leo.append(6)
leo.append(9)
console.log(leo.length)
console.log(leo.head)
leo.remove(6)
console.log(leo.length)
console.log(leo.head)
console.log(leo.toString())
三、实现反转链表
用链表的方式,输出一个反转后的单链表。
示例:
输入: 1->2->3->4->5->NULL
输出: 5->4->3->2->1->NULL
// input
let head = {
'val': 1,'next': {
'val': 2,'next': {
'val': 3,'next': {
'val': 4,'next': {
'val': 5,
'next': null
}
}
}
}
};
reverseList(head)
// output
head = {
'val': 5,'next': {
'val': 4,'next': {
'val': 3,'next': {
'val': 2,'next': {
'val': 1,
'next': null
}
}
}
}
};
解题思路1.使用迭代:
在遍历列表时,将当前节点的 next 指针改为指向前一个元素。由于节点没有引用其上一个节点,因此必须先存储其前一个元素。在更改引用之前,还需要另一个指针来存储下一个节点。不要忘记在最后返回新的头引用!
解题思路2.使用递归:
通过递归修改 head.next.next 和 head.next 指针来实现。
解析:
题目出自:Leetcode 206. 反转链表
介绍两种常用方法:
1.使用迭代:
在遍历列表时,将当前节点的 next 指针改为指向前一个元素。由于节点没有引用其上一个节点,因此必须先存储其前一个元素。在更改引用之前,还需要另一个指针来存储下一个节点。不要忘记在最后返回新的头引用!
/**
* Definition for singly-linked list.
* function ListNode(val) {
* this.val = val;
* this.next = null;
* }
*/
/**
* @param {ListNode} head
* @return {ListNode}
*/
let reverseList = function(head) {
let pre = null, curr = head
while (curr) {
next = curr.next
curr.next = pre
pre = curr
curr = next
}
return pre
};
复杂度分析
时间复杂度:O(n)。 假设 n 是列表的长度,时间复杂度是 O(n)。
空间复杂度:O(1)。
2.使用递归:
/**
* Definition for singly-linked list.
* function ListNode(val) {
* this.val = val;
* this.next = null;
* }
*/
/**
* @param {ListNode} head
* @return {ListNode}
*/
let reverseList = function(head) {
if(head == null || head.next == null) return head
let pre = reverseList(head.next)
head.next.next = head
head.next = null
return pre
};
复杂度分析
时间复杂度:O(n)。 假设 n 是列表的长度,那么时间复杂度为 O(n)。
空间复杂度:O(n)。 由于使用递归,将会使用隐式栈空间。递归深度可能会达到 n 层。
四、判断链表是否有环
设计一个函数 hasCycle,接收一个链表作为参数,判断链表中是否有环。
为了表示给定链表中的环,我们使用整数 pos 来表示链表尾连接到链表中的位置(索引从 0 开始)。 如果 pos 是 -1,则在该链表中没有环。
需要注意的是,不可能存在多个环,最多只有一个。
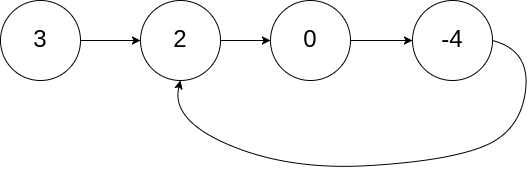
示例 1:
输入:head = [3,2,0,-4], pos = 1
输出:true
解释:链表中有一个环,其尾部连接到第二个节点。
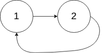
示例 2:
输入:head = [1,2], pos = 0
输出:true
解释:链表中有一个环,其尾部连接到第一个节点。
示例 3:
输入:head = [1], pos = -1
输出:false
解释:链表中没有环。
解题思路1.判断是否有 null:
一直遍历下去,如果遍历到 null 则表示没有环,否则有环,但是考虑到性能问题,最好给定一段时间作为限制,超过时间就不要继续遍历。
解题思路2.标记法:
也是要遍历每个节点,并在遍历的节点添加标记,如果后面遍历过程中,遇到有这个标记的节点,即表示有环,反之没有环。
解题思路3.使用双指针(龟兔赛跑式):
设置2个指针,一个 快指针 每次走 2 步,慢指针 每次走 1 步,如果没有环的情况,最后这两个指针不会相遇,如果有环,会相遇。
解析:
题目出自:Leetcode 141. 环形链表
1.断是否有 null
/**
* Definition for singly-linked list.
* function ListNode(val) {
* this.val = val;
* this.next = null;
* }
*/
/**
* @param {ListNode} head
* @return {boolean}
*/
let hasCycle = function(head) {
while(head){
if(head.value == null) return true
head.value = null
head = head.next
}
return false
}
2.标记法
/**
* Definition for singly-linked list.
* function ListNode(val) {
* this.val = val;
* this.next = null;
* }
*/
/**
* @param {ListNode} head
* @return {boolean}
*/
let hasCycle = function(head) {
let node = head
while(node){
if(node.isVisit){
return true
}else{
node.isVisit = true
}
node = node.next
}
return false
};
3.使用双指针
/**
* Definition for singly-linked list.
* function ListNode(val) {
* this.val = val;
* this.next = null;
* }
*/
/**
* @param {ListNode} head
* @return {boolean}
*/
let hasCycle = function(head) {
if(head == null || head.next == null) return false
let slow = head, fast = head.next
while(slow != fast){
if(fast == null || fast.next == null) return false
slow = slow.next // 慢指针每次走1步
fast = fast.next.next // 快指针每次走1补
}
return true
};
五、实现两两交换链表中的节点
给定一个链表,两两交换其中相邻的节点,并返回交换后的链表。
你不能只是单纯的改变节点内部的值,而是需要实际的进行节点交换。
示例:
给定 1->2->3->4, 你应该返回 2->1->4->3.
给定 1->2->3->4->5, 你应该返回 2->1->4->3->5.
解题思路1.使用迭代:
和反转链表类似,关键在于有三个指针,分别指向前后和当前节点,而不同在于两两交换后,移动节点的步长为2,需要注意。
解题思路2.使用递归:
这里也可以使用递归,也可以参考反转链表的问题,终止条件是递归到链表为空,或者只剩下一个元素没得交换了,才终止。
解析:
题目出自:Leetcode 24. 两两交换链表中的节点
介绍两种常用方法:
1.使用迭代:
/**
* Definition for singly-linked list.
* function ListNode(val) {
* this.val = val;
* this.next = null;
* }
*/
/**
* @param {ListNode} head
* @return {ListNode}
*/
let swapPairs = function (head){
if(!head) return null
let arr = []
while(head){
let next = head.next
head.next = null
arr.push(head)
head = next
}
for(let i = 0; i < arr.length; i += 2){
let [a, b] = [arr[i], arr[i + 1]]
if(!b) continue
[arr[i], arr[i + 1]] = [b, a]
}
for(let i = 0; i < arr.length - 1; i ++){
arr[i].next = arr[i + 1]
}
return arr[0]
}
2.使用递归:
/**
* Definition for singly-linked list.
* function ListNode(val) {
* this.val = val;
* this.next = null;
* }
*/
/**
* @param {ListNode} head
* @return {ListNode}
*/
let swapPairs = function (head){
if(head == null || head.next ==null) return head
let next = head.next
head.next = swapPairs(next.next)
next.next = head
return next
}
关于
作者:王平安
来源:前端自习课
共同学习,写下你的评论
评论加载中...
作者其他优质文章



