啥是树
之前所讲的线性表、队列、栈,实际上都是一种一对一的结构,而树是一种一对多的结构。
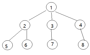
树这个名字起的非常形象,所以一个树的结构可如下图所示:
也就是说每个节点下面有N个节点(N>=0),且根节点数量小于1的数据结构为树。当根节点数量为0是,是一个空树。
相关概念
- 节点:上图中1-8都是节点
- 根节点:1是根节点,没有父节点
- 双亲:1是2/3/4的双亲,2是5/6的双亲
- 兄弟:2/3/4是兄弟,5/6是兄弟
- 孩子:2/3/4是1的孩子,直接下挂的节点
- 度:节点的度是节点拥有的孩子数,树的度是树内各节点度的最大值,例如上面的数,度为3
如何用数据结构对树进行描述
第一,树是由节点组成的,所以要想弄明白怎么表示树,应该先搞懂如何表示节点。
第二,寻找节点的共同特征,节点至少有一个数据存储区域,用来保存节点的数据信息,例如上图中节点的数据区域存储了节点的编号,实际上可能会有更多信息。例如一个地理区域树,根节点是中国,子节点是各省级行政区划信息,每个节点可能保存节点行政区划编号、邮编、电话区号、人口数量等信息。
第三,每个节点有若干个子节点,也就是说若干节点与本节点有一种关联,表示是本节点的孩子,此处完全可以用指针来表示,因为子节点的数量不一定,所以指针个数也不一定。
第四,每个节点指向子节点的指针个数可能为0,也可能是1、2、3…,但是最大也就是树的度了。所以我们可以用一个数组来保存指向子节点的指针。
因为从根节点出发,可以顺着指针找到所有节点,所以只要根节点搞定了,实际上整个树的数据结构也就确定了。
综上所述:节点可以如下描述:
#define DEGREE 10 //树的度
struct TreeNode{
int data;//数据区域
int childnum;//子节点数量,最大不能超过DEGREE
struct TreeNode* children[DEGREE];//保存指向当前节点子节点的指针数组
};
代码实现
接下来我们用代码来实现下刚才的树
/*
* 使用数组描述子节点的普通树实现
* 作者:熊猫大大
* 时间:2019-10-13
*/
#include<stdio.h>
#define DEGREE 3 //树的度
struct TreeNode {
int data;//数据区域
int childnum;//子节点数量,最大不能超过DEGREE
struct TreeNode* children[DEGREE];//保存指向当前节点子节点的指针数组
};
//添加当前节点子节点
int addChild(struct TreeNode* curNode, int data)
{
if (curNode->childnum >= DEGREE) //超过最大度数
{
return 0;
}
curNode->children[curNode->childnum]= (struct TreeNode*)malloc(sizeof(struct TreeNode));//添加子节点
curNode->children[curNode->childnum]->data = data;//子节点数据
curNode->children[curNode->childnum]->childnum = 0;//子节点的孩子数量初始化为0
curNode->childnum++;//当前节点孩子数量+1
return 1;
}
//遍历当前节点与子节点
void printTree(struct TreeNode *node)
{
int i = 0;
printf("父:");
printf("%d ---- ",node->data);
if (node->childnum == 0)
{
printf("无子节点");
}
for (i = 0 ; i < node->childnum; i++)
{
printf("子:");
printf("%d ", node->children[i]->data);
}
printf("\n");
for (i = 0; i < node->childnum; i++)
{
printTree(node->children[i]);
}
}
int main()
{
//设定根节点
struct TreeNode root;
root.data = 1;
root.childnum = 0;
//为当前节点添加3个子节点
addChild(&root,2);
addChild(&root, 3);
addChild(&root, 4);
printf("添加2/3/4节点后:\n");
printTree(&root);
//为节点2添加子节点5,6
addChild(root.children[0], 5);
addChild(root.children[0], 6);
//为节点3添加子节点7
addChild(root.children[1], 7);
//为节点4添加子节点8
addChild(root.children[2], 8);
printf("添加5/6/7/8节点后:\n");
printTree(&root);
return 1;
}
输出效果,还是相当清晰滴:
点击查看更多内容
为 TA 点赞
评论
共同学习,写下你的评论
评论加载中...
作者其他优质文章
正在加载中
感谢您的支持,我会继续努力的~
扫码打赏,你说多少就多少
赞赏金额会直接到老师账户
支付方式
打开微信扫一扫,即可进行扫码打赏哦

