1:Mysql索引是什么
mysql索引: 是一种帮助mysql高效的获取数据的数据结构,这些数据结构以某种方式引用数据,这种结构就是索引。可简单理解为排好序的快速查找数据结构。如果要查“mysql”这个单词,我们肯定需要定位到m字母,然后从下往下找到y字母,再找到剩下的sql。
1.1:索引分类
单值索引:一个索引包含1个列 create index idx_XX on table(f1) 一个表可以建多个。 唯一索引: 索引列的值必须唯一,但允许有空值 create unique index idx_XX on table(f1) 复合索引: 一个索引包含多个列 如:create index idx_XX on table(f1,f2,..)
1.2:索引结构
BTree Hash索引 full-text全文索引:
1.3:什么情况建立索引
主键自动建立唯一索引 频繁作为查询条件的字段因该创建索引 查询中与其他表关联的字段,外键关系建立索引 频繁更新的字段不适合建立索引 where条件里用不到的字段不建立索引 单键/复合索引的选择(高并发下倾向复合) 查询中排序的字段因建立索引 查询中统计或分组字段
1.4:什么情况建不建立索引
频繁增删改的表 表记录太少 数据重复且分布平均的表字段。(重复太多索引意义不大)
2:Mysql索引为什么要用B+Tree实现
2.1:B+树在数据库索引中的应用
目前大部分数据库系统及文件系统都采用B-Tree或其变种B+Tree作为索引结构
1)在数据库索引的应用
在数据库索引的应用中,B+树按照下列方式进行组织 :
① 叶结点的组织方式 。B+树的查找键 是数据文件的主键 ,且索引是稠密的。也就是说 ,叶结点 中为数据文件的第一个记录设有一个键、指针对 ,该数据文件可以按主键排序,也可以不按主键排序 ;数据文件按主键排序,且 B +树是稀疏索引 , 在叶结点中为数据文件的每一个块设有一个键、指针对 ;数据文件不按键属性排序 ,且该属性是 B +树 的查找键 , 叶结点中为数据文件里出现的每个属性K设有一个键 、 指针对 , 其中指针执行排序键值为 K的 记录中的第一个。
② 非叶结点 的组织方式。B+树 中的非叶结点形成 了叶结点上的一个多级稀疏索引。 每个非叶结点中至少有ceil( m/2 ) 个指针 , 至多有 m 个指针 。
2)B+树索引的插入和删除
①在向数据库中插入新的数据时,同时也需要向数据库索引中插入相应的索引键值 ,则需要向 B+树 中插入新的键值。即上面我们提到的B-树插入算法。
②当从数据库中删除数据时,同时也需要从数据库索引中删除相应的索引键值 ,则需要从 B+树 中删 除该键值 。即B-树删除算法
2.2: 索引在数据库中的作用
在数据库系统的使用过程当中,数据的查询是使用最频繁的一种数据操作。
最基本的查询算法当然是顺序查找(linear search),遍历表然后逐行匹配行值是否等于待查找的关键字,其时间复杂度为O(n)。但时间复杂度为O(n)的算法规模小的表,负载轻的数据库,也能有好的性能。 但是数据增大的时候,时间复杂度为O(n)的算法显然是糟糕的,性能就很快下降了。
好在计算机科学的发展提供了很多更优秀的查找算法,例如二分查找(binary search)、二叉树查找(binary tree search)等。如果稍微分析一下会发现,每种查找算法都只能应用于特定的数据结构之上,例如二分查找要求被检索数据有序,而二叉树查找只能应用于二叉查找树上,但是数据本身的组织结构不可能完全满足各种数据结构(例如,理论上不可能同时将两列都按顺序进行组织),所以,在数据之外,数据库系统还维护着满足特定查找算法的数据结构,这些数据结构以某种方式引用(指向)数据,这样就可以在这些数据结构上实现高级查找算法。这种数据结构,就是索引。
索引是对数据库表 中一个或多个列的值进行排序的结构。与在表 中搜索所有的行相比,索引用指针 指向存储在表中指定列的数据值,然后根据指定的次序排列这些指针,有助于更快地获取信息。通常情 况下 ,只有当经常查询索引列中的数据时 ,才需要在表上创建索引。索引将占用磁盘空间,并且影响数 据更新的速度。但是在多数情况下 ,索引所带来的数据检索速度优势大大超过它的不足之处。
2.3:为什么使用B-Tree(B+Tree)
1.文件很大,不可能全部存储在内存中,故要存储到磁盘上
2.索引的结构组织要尽量减少查找过程中磁盘I/O的存取次数(为什么使用B-/+Tree,还跟磁盘存取原理有关。)
3.局部性原理与磁盘预读,预读的长度一般为页(page)的整倍数,(在许多操作系统中,页得大小通常为4k)
4.数据库系统巧妙利用了磁盘预读原理,将一个节点的大小设为等于一个页,这样每个节点只需要一次I/O就可以完全载入,(由于节点中有两个数组,所以地址连续)。而红黑树这种结构,h明显要深的多。由于逻辑上很近的节点(父子)物理上可能很远,无法利用局部性
二叉查找树进化品种的红黑树等数据结构也可以用来实现索引,但是文件系统及数据库系统普遍采用B-/+Tree作为索引结构。
一般来说,索引本身也很大,不可能全部存储在内存中,因此索引往往以索引文件的形式存储的磁盘上。这样的话,索引查找过程中就要产生磁盘I/O消耗,相对于内存存取,I/O存取的消耗要高几个数量级,所以评价一个数据结构作为索引的优劣最重要的指标就是在查找过程中磁盘I/O操作次数的渐进复杂度。换句话说,索引的结构组织要尽量减少查找过程中磁盘I/O的存取次数。为什么使用B-/+Tree,还跟磁盘存取原理有关。
局部性原理与磁盘预读
由于存储介质的特性,磁盘本身存取就比主存慢很多,再加上机械运动耗费,磁盘的存取速度往往是主存的几百分分之一,因此为了提高效率,要尽量减少磁盘I/O。为了达到这个目的,磁盘往往不是严格按需读取,而是每次都会预读,即使只需要一个字节,磁盘也会从这个位置开始,顺序向后读取一定长度的数据放入内存。这样做的理论依据是计算机科学中著名的局部性原理:
当一个数据被用到时,其附近的数据也通常会马上被使用。
程序运行期间所需要的数据通常比较集中。
由于磁盘顺序读取的效率很高(不需要寻道时间,只需很少的旋转时间),因此对于具有局部性的程序来说,预读可以提高I/O效率。
预读的长度一般为页(page)的整倍数。页是计算机管理存储器的逻辑块,硬件及操作系统往往将主存和磁盘存储区分割为连续的大小相等的块,每个存储块称为一页(在许多操作系统中,页得大小通常为4k),主存和磁盘以页为单位交换数据。当程序要读取的数据不在主存中时,会触发一个缺页异常,此时系统会向磁盘发出读盘信号,磁盘会找到数据的起始位置并向后连续读取一页或几页载入内存中,然后异常返回,程序继续运行。
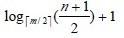
我们上面分析B-/+Tree检索一次最多需要访问节点:
h =
数据库系统巧妙利用了磁盘预读原理,将一个节点的大小设为等于一个页,这样每个节点只需要一次I/O就可以完全载入。为了达到这个目的,在实际实现B- Tree还需要使用如下技巧:
每次新建节点时,直接申请一个页的空间,这样就保证一个节点物理上也存储在一个页里,加之计算机存储分配都是按页对齐的,就实现了一个node只需一次I/O。
B-Tree中一次检索最多需要h-1次I/O(根节点常驻内存),渐进复杂度为O(h)=O(logmN)。一般实际应用中,m是非常大的数字,通常超过100,因此h非常小(通常不超过3)。
综上所述,用B-Tree作为索引结构效率是非常高的。
而红黑树这种结构,h明显要深的多。由于逻辑上很近的节点(父子)物理上可能很远,无法利用局部性,所以红黑树的I/O渐进复杂度也为O(h),效率明显比B-Tree差很多。
3:Mysql索引如何实现
1)主键索引:
MyISAM引擎使用B+Tree作为索引结构,叶节点的data域存放的是数据记录的地址。下图是MyISAM主键索引的原理图:
(图myisam1)
这里设表一共有三列,假设我们以Col1为主键,图myisam1是一个MyISAM表的主索引(Primary key)示意。可以看出MyISAM的索引文件仅仅保存数据记录的地址。
2)辅助索引(Secondary key)
在MyISAM中,主索引和辅助索引(Secondary key)在结构上没有任何区别,只是主索引要求key是唯一的,而辅助索引的key可以重复。如果我们在Col2上建立一个辅助索引,则此索引的结构如下图所示:
同样也是一颗B+Tree,data域保存数据记录的地址。因此,MyISAM中索引检索的算法为首先按照B+Tree搜索算法搜索索引,如果指定的Key存在,则取出其data域的值,然后以data域的值为地址,读取相应数据记录。
MyISAM的索引方式也叫做“非聚集”的,之所以这么称呼是为了与InnoDB的聚集索引区分。
4:InnoDB索引实现
虽然InnoDB也使用B+Tree作为索引结构,但具体实现方式却与MyISAM截然不同。
第一个重大区别是InnoDB的数据文件本身就是索引文件。从上文知道,MyISAM索引文件和数据文件是分离的,索引文件仅保存数据记录的地址。而在InnoDB中,表数据文件本身就是按B+Tree组织的一个索引结构,这棵树的叶节点data域保存了完整的数据记录。这个索引的key是数据表的主键,因此InnoDB表数据文件本身就是主索引。
上图是InnoDB主索引(同时也是数据文件)的示意图,可以看到叶节点包含了完整的数据记录。这种索引叫做聚集索引。因为InnoDB的数据文件本身要按主键聚集,所以InnoDB要求表必须有主键(MyISAM可以没有),如果没有显式指定,则MySQL系统会自动选择一个可以唯一标识数据记录的列作为主键,如果不存在这种列,则MySQL自动为InnoDB表生成一个隐含字段作为主键,这个字段长度为6个字节,类型为长整形。
第二个与MyISAM索引的不同是InnoDB的辅助索引data域存储相应记录主键的值而不是地址。换句话说,InnoDB的所有辅助索引都引用主键作为data域。例如,下图为定义在Col3上的一个辅助索引:
这里以英文字符的ASCII码作为比较准则。聚集索引这种实现方式使得按主键的搜索十分高效,但是辅助索引搜索需要检索两遍索引:首先检索辅助索引获得主键,然后用主键到主索引中检索获得记录。
了解不同存储引擎的索引实现方式对于正确使用和优化索引都非常有帮助,例如知道了InnoDB的索引实现后,就很容易明白为什么不建议使用过长的字段作为主键,因为所有辅助索引都引用主索引,过长的主索引会令辅助索引变得过大。再例如,用非单调的字段作为主键在InnoDB中不是个好主意,因为InnoDB数据文件本身是一颗B+Tree,非单调的主键会造成在插入新记录时数据文件为了维持B+Tree的特性而频繁的分裂调整,十分低效,而使用自增字段作为主键则是一个很好的选择。
4:程序员进阶方法
以上是我总结出的Mysql索引底层数据结构剖析,但在此,我还想给大家一种学习方法,让大家不单单在理论有所收获,还能在工作实践中收获更多。我推荐的这种方法。
不管你是面对目前流行的技术不知从何下手,需要突破技术瓶颈的可以学。
不管你是在公司待久了,过得很安逸,但跳槽时面试碰壁。需要在短时间内进修、跳槽拿高薪的可以学。
不管你是没有工作经验,但基础非常扎实,对java工作机制,常用设计思想,常用java开发框架掌握熟练的,可以学。(小白就不要学了,先学好基础)
不管你是觉得自己很牛B,一般需求都能搞定。但是所学的知识点没有系统化,很难在技术领域继续突破的可以学。
以下是程序员的进阶方法:
一、源码分析
二、分布式架构
三、微服务
四、性能优化
五、团队协作
六:电商实战
七:并发编程
作者:烂猪皮
来源:https://my.oschina.net/u/3636867/blog/1796477
共同学习,写下你的评论
评论加载中...
作者其他优质文章











