完结篇。
这个系列写到这里算是结束了,真是不容易说实话,查了好多好多的资料,真的很难相信懒得要命的我能写完这个系列 T_T。有兴趣的小伙伴可以在菜单看看整个系列。
好啦,开始今天的主题,今天主要呢,聊最后两个基数估计算法,一个是 Adaptive Counting ,一个是 HyperLogLog Counting 。话不多说,直接简单粗暴从 Adaptive Counting 开始吧。
Adaptive Counting 其实就是一个组合算法。
原始论文是 《 Fast and accurate traffic matrix measurement using adaptive cardinality counting 》 。思路很简单粗暴,就是将 LC 和 LLC 组合起来使用,我们假设 LC 与 LLC 在同样的条件下,在总统计值 m 等于 M 的时候误差达到一致,那么当 m 小于 M 的时候使用 LC ,当 m 远大于 M 的时候使用 LLC。
为什么呢?我们都知道 LC 其实只是 BitMap 的进化版,如果基数太大的话,那么会占用非常多非常多的内存,如果桶设置得太小的话所有的桶基本都满了,那么这样子误差会很大。而 LLC 则非常稀疏,如果 m 太小的话,那么会出现非常多的空桶,这样子误差也非常大。所以总结起来就是,组合起来用,总统计量小的话用 LC , 统计量太大的话用 LLC 。
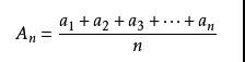
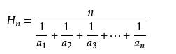
HyperLogLog Counting 其实就是 LC 基数估计法从算术平均数换成调和平均数。
先补充一下小学算术,什么叫算术平均数什么叫调和平均数哈。首先是算术平均数,其实就是加起来求和。
第二是调和平均数,其实就是倒数求和除n的倒数。
呐,这样就可以解释清楚了。LC 里边是对 m 个桶里边的值进行求算术平均数然后直接进行基数估计,而 LLC 则是使用调和平均数。那么,这样做有什么道理呢?
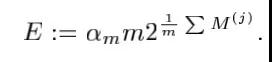
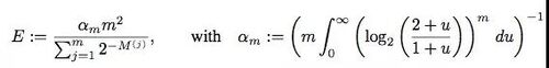
对比一下,LLC 是第一个,HyperLogLog Counting 是第二个。
看得出差别了吗?一个是直接求和平均,一个是倒数平均。其中 LLC 使用算术平均数,那么如果数值比较稀疏的时候,也即是有一些偏离值的时候,整个数据的求和会变得很偏远。用人话来说就是,我跟姚明平均身高两米。。。非常容易受到异常值的影响。而 HyperLogLog Counting 使用调和平均数则可以有效降低偏离值的影响。虽然来说也有一点影响但是影响程度没有算术平均数那么大。
最后放出各大算法的空间占用及误差率,看时机使用吧,别什么东西都直接丢一个 HyperLogLog ,有些场景下可能直接丢一个 HashSet 更靠谱喔。
好了这个系列到此结束,总得来说基数估计算法的套路都差不了太多,基本都输基于 BitMap 的思想,然后进行分桶,接着对桶进行统计这样的思路来进行超大数据量的基数估计。
共同学习,写下你的评论
评论加载中...
作者其他优质文章




