为了账号安全,请及时绑定邮箱和手机立即绑定

机器学习虾扯蛋之SVD奇异值分解No.48

标签:
机器学习

机器学习说难不难,说简单也不简单。跟着小蕉有饭吃。

今天分享的是机器学习里面一个寻找主要成分的算法,SVD (Singularly Valuable Decomposition) 奇异值分解。

首先寻找主要成分有什么最最最最主要的用处呢?

1、噪音过滤

2、数据压缩

奇异值分解,其实就是矩阵分解的一种,本次矩阵分解的模式是这样的,其中中间的 ∑ 就是奇异值矩阵。

https://img1.sycdn.imooc.com//5e0d9f6b0001144301180040.jpg

假设A是一个m*n的矩阵,那么U就是一个m*m的,∑是一个m*n的,V是一个n*n的,这样子就可以将目标矩阵A用三个矩阵相乘来表示了。

而经过实验,我们发现 ∑ 的奇异值其实并不是每一个值都是很大的,一般取 Top r 个就足以表示这整个矩阵了。

所以得出了下面这么一个不等式。https://img1.sycdn.imooc.com//5e0d9f6c0001b5c602040045.jpg

(r是一个远小于m,n的数)

这时候矩阵所占的容量从m*n变为m*r+r*r+r*n,因为Σ是奇异值大小排列取前 r 个的,所以就做到了提取主要成分的效果,而因为容量变小了,所以也起到了压缩的作用。

好,原理是怎样已经解释清楚了,那么问题来了,这个奇异值要怎么求呢?老司机告诉我们,就这样分五步走。

1、进行矩阵变换,从A变为  https://img1.sycdn.imooc.com//5e0d9f6c00015e9600770051.jpg

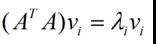
2、求特征值λ,特征向量v。

https://img1.sycdn.imooc.com//5e0d9fa50001cb3c01560044.jpg

3、奇异值σi为https://img1.sycdn.imooc.com//5e0d9fc20001defb00370040.jpg,Σ的值为λ组成的对角矩阵。

4、左奇向量值U等于特征向量v。

5、右奇异向量值V为  1/σi * (A * vi)

当然你要是不会算,也没关系,作为手残党我自己也经常算不出来。已经有很多现成的库帮我们计算好了,并不需要我们自己算,比如sklearn里面的长这样。

  from sklearn.decomposition import TruncatedSVD
  X = something
  svd = TruncatedSVD(n_components=2)   X_reduced = svd.fit_transform(X)

又比如Spark里面是这样玩的。

val mat:RowMatrix = new RowMatrix(dataRDD)    
val svd: SingularValueDecomposition[RowMatrix,Matrix] = mat.computeSVD(2,computeU = true)    
 val U:RowMatrix = svd.U //U矩阵
 val s:Vector = svd.s //奇异值
 val V:Matrix = svd.V //V矩阵

好了,今天就分享到这~掰掰~

点击查看更多内容
TA 点赞

若觉得本文不错,就分享一下吧!

评论

作者其他优质文章

正在加载中
  • 推荐
  • 评论
  • 收藏
  • 共同学习,写下你的评论
感谢您的支持,我会继续努力的~
扫码打赏,你说多少就多少
赞赏金额会直接到老师账户
支付方式
打开微信扫一扫,即可进行扫码打赏哦
今天注册有机会得

100积分直接送

付费专栏免费学

大额优惠券免费领

立即参与 放弃机会
微信客服

购课补贴
联系客服咨询优惠详情

帮助反馈 APP下载

慕课网APP
您的移动学习伙伴

公众号

扫描二维码
关注慕课网微信公众号

举报

0/150
提交
取消