数据的分散性是用来说明事物在发展变化过程中的均衡性、节奏性和稳定性等问题,实际上,变异性和分散性所描述的问题是一致的,但变异性往往比分散性更为具体、精确。常用的描述变异性的统计指标有:方差、标准差和标准分。
方差
方差是数值与均值的的平方数的平均值,方差实际上量度的是各个数值与均值的平均距离,计算公式为:
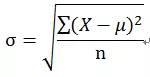
标准差
取方差的平方根就是标准差,标准差有自己的专用符号σ(小写的“西格玛”)。标准差越小,数值离均值越近。
标准分
使用标准分可以对不同数据集的数据进行比较,而这些不同数据集的均值和标准差各不相同。换句话说:通过整个数据集的均值和标准差可求出一个特定数值的标准分。标准分用 “z”来表示,计算公式为:
点击查看更多内容
为 TA 点赞
评论
共同学习,写下你的评论
评论加载中...
作者其他优质文章
正在加载中
感谢您的支持,我会继续努力的~
扫码打赏,你说多少就多少
赞赏金额会直接到老师账户
支付方式
打开微信扫一扫,即可进行扫码打赏哦


