增注:虽然当时看这篇文章的时候感觉很不错,但是还是写在前面,想要了解关于机器学习度量的几个尺度,建议大家直接看周志华老师的西瓜书的第2章:模型评估与选择,写的是真的很好!!
以下第一部分内容转载自:机器学习算法中的准确率(Precision)、召回率(Recall)、F值(F-Measure)是怎么一回事
摘要:
数据挖掘、机器学习和推荐系统中的评测指标—准确率(Precision)、召回率(Recall)、F值(F-Measure)简介。
引言:
在机器学习、数据挖掘、推荐系统完成建模之后,需要对模型的效果做评价。
业内目前常常采用的评价指标有准确率(Precision)、召回率(Recall)、F值(F-Measure)等,下图是不同机器学习算法的评价指标。下文讲对其中某些指标做简要介绍。
本文针对二元分类器!
本文针对二元分类器!!
本文针对二元分类器!!!
对分类的分类器的评价指标将在以后文章中介绍。
在介绍指标前必须先了解“混淆矩阵”:
混淆矩阵
True Positive(真正,TP):将正类预测为正类数
True Negative(真负,TN):将负类预测为负类数
False Positive(假正,FP):将负类预测为正类数误报 (Type I error)
False Negative(假负,FN):将正类预测为负类数漏报 (Type II error)
1、准确率(Accuracy)
准确率(accuracy)计算公式为:
注:准确率是我们最常见的评价指标,而且很容易理解,就是被分对的样本数除以所有的样本数,通常来说,正确率越高,分类器越好。
准确率确实是一个很好很直观的评价指标,但是有时候准确率高并不能代表一个算法就好。比如某个地区某天地震的预测,假设我们有一堆的特征作为地震分类的属性,类别只有两个:0:不发生地震、1:发生地震。一个不加思考的分类器,对每一个测试用例都将类别划分为0,那那么它就可能达到99%的准确率,但真的地震来临时,这个分类器毫无察觉,这个分类带来的损失是巨大的。为什么99%的准确率的分类器却不是我们想要的,因为这里数据分布不均衡,类别1的数据太少,完全错分类别1依然可以达到很高的准确率却忽视了我们关注的东西。再举个例子说明下。在正负样本不平衡的情况下,准确率这个评价指标有很大的缺陷。比如在互联网广告里面,点击的数量是很少的,一般只有千分之几,如果用acc,即使全部预测成负类(不点击)acc也有 99% 以上,没有意义。因此,单纯靠准确率来评价一个算法模型是远远不够科学全面的。
2、错误率(Error rate)
错误率则与准确率相反,描述被分类器错分的比例,error rate = (FP+FN)/(TP+TN+FP+FN),对某一个实例来说,分对与分错是互斥事件,所以accuracy =1 - error rate。
3、灵敏度(sensitive)
sensitive = TP/P,表示的是所有正例中被分对的比例,衡量了分类器对正例的识别能力。
4、特效度(sensitive)
specificity = TN/N,表示的是所有负例中被分对的比例,衡量了分类器对负例的识别能力。
5、精确率、精度(Precision)
精确率(precision)定义为:
表示被分为正例的示例中实际为正例的比例。
6、召回率(recall)
召回率是覆盖面的度量,度量有多个正例被分为正例,recall=TP/(TP+FN)=TP/P=sensitive,可以看到召回率与灵敏度是一样的。
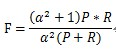
7、综合评价指标(F-Measure)
P和R指标有时候会出现的矛盾的情况,这样就需要综合考虑他们,最常见的方法就是F-Measure(又称为F-Score)。
F-Measure是Precision和Recall加权调和平均: 
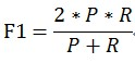
当参数α=1时,就是最常见的F1,也即 
可知F1综合了P和R的结果,当F1较高时则能说明试验方法比较有效。
8、其他评价指标
计算速度:分类器训练和预测需要的时间;
鲁棒性:处理缺失值和异常值的能力;
可扩展性:处理大数据集的能力;
可解释性:分类器的预测标准的可理解性,像决策树产生的规则就是很容易理解的,而神经网络的一堆参数就不好理解,我们只好把它看成一个黑盒子。
下面来看一下ROC和PR曲线(以下内容为自己总结):
1、ROC曲线:
ROC(Receiver Operating Characteristic)曲线是以假正率(FP_rate)和假负率(TP_rate)为轴的曲线,ROC曲线下面的面积我们叫做AUC,如下图所示:

其中:
(1)曲线与FP_rate轴围成的面积(记作AUC)越大,说明性能越好,即图上L2曲线对应的性能优于曲线L1对应的性能。即:曲线越靠近A点(左上方)性能越好,曲线越靠近B点(右下方)曲线性能越差。
(2)A点是最完美的performance点,B处是性能最差点。
(3)位于C-D线上的点说明算法性能和random猜测是一样的–如C、D、E点。位于C-D之上(即曲线位于白色的三角形内)说明算法性能优于随机猜测–如G点,位于C-D之下(即曲线位于灰色的三角形内)说明算法性能差于随机猜测–如F点。
(4)虽然ROC曲线相比较于Precision和Recall等衡量指标更加合理,但是其在高不平衡数据条件下的的表现仍然过于理想,不能够很好的展示实际情况。
2、PR曲线:
即,PR(Precision-Recall)曲线。
举个例子(例子来自Paper:Learning from eImbalanced Data):
假设N_c>>P_c(即Negative的数量远远大于Positive的数量),若FP很大,即有很多N的sample被预测为P,因为




