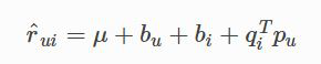
经典的SVD算法,预测评分的的计算公式如下:
其中μ为评分的平均值,分别表示u用户的偏置量和i物品的偏置量。
从而,要优化的式子是如下形式:
要通过梯度下降优化的变量为四个,如下:
参考了一些代码,现在使用python实现如下
import numpy as np
import random
class SVD:
def __init__(self,mat,K=20):
self.mat=np.array(mat)
self.K=K
self.bi={}
self.bu={}
self.qi={}
self.pu={}
self.avg=np.mean(self.mat[:,2])
for i in range(self.mat.shape[0]):
uid=self.mat[i,0]
iid=self.mat[i,1]
self.bi.setdefault(iid,0)
self.bu.setdefault(uid,0)
self.qi.setdefault(iid,np.random.random((self.K,1))/10*np.sqrt(self.K))
self.pu.setdefault(uid,np.random.random((self.K,1))/10*np.sqrt(self.K))
def predict(self,uid,iid): #预测评分的函数
#setdefault的作用是当该用户或者物品未出现过时,新建它的bi,bu,qi,pu,并设置初始值为0
self.bi.setdefault(iid,0)
self.bu.setdefault(uid,0)
self.qi.setdefault(iid,np.zeros((self.K,1)))
self.pu.setdefault(uid,np.zeros((self.K,1)))
rating=self.avg+self.bi[iid]+self.bu[uid]+np.sum(self.qi[iid]*self.pu[uid]) #预测评分公式
#由于评分范围在1到5,所以当分数大于5或小于1时,返回5,1.
if rating>5:
rating=5
if rating<1:
rating=1
return rating
def train(self,steps=30,gamma=0.04,Lambda=0.15): #训练函数,step为迭代次数。
print('train data size',self.mat.shape)
for step in range(steps):
print('step',step+1,'is running')
KK=np.random.permutation(self.mat.shape[0]) #随机梯度下降算法,kk为对矩阵进行随机洗牌
rmse=0.0
for i in range(self.mat.shape[0]):
j=KK[i]
uid=self.mat[j,0]
iid=self.mat[j,1]
rating=self.mat[j,2]
eui=rating-self.predict(uid, iid)
rmse+=eui**2
self.bu[uid]+=gamma*(eui-Lambda*self.bu[uid])
self.bi[iid]+=gamma*(eui-Lambda*self.bi[iid])
tmp=self.qi[iid]
self.qi[iid]+=gamma*(eui*self.pu[uid]-Lambda*self.qi[iid])
self.pu[uid]+=gamma*(eui*tmp-Lambda*self.pu[uid])
gamma=0.93*gamma
print('rmse is',np.sqrt(rmse/self.mat.shape[0]))
def test(self,test_data): #gamma以0.93的学习率递减
test_data=np.array(test_data)
print('test data size',test_data.shape)
rmse=0.0
for i in range(test_data.shape[0]):
uid=test_data[i,0]
iid=test_data[i,1]
rating=test_data[i,2]
eui=rating-self.predict(uid, iid)
rmse+=eui**2
print('rmse of test data is',np.sqrt(rmse/test_data.shape[0]))
def getData(): #获取训练集和测试集的函数
import re
f=open('C:/Users/xuwei/Desktop/data.txt','r')
lines=f.readlines()
f.close()
data=[]
for line in lines:
list=re.split('\t|\n',line)
if int(list[2]) !=0: #提出评分0的数据,这部分是用户评论了但是没有评分的
data.append([int(i) for i in list[:3]])
random.shuffle(data)
train_data=data[:int(len(data)*7/10)]
test_data=data[int(len(data)*7/10):]
print('load data finished')
print('total data ',len(data))
return train_data,test_data
train_data,test_data=getData()
a=SVD(train_data,30)
a.train()
a.test(test_data)
使用了自己爬取的豆瓣约130万的评分信息进行测试,分为测试组和训练组,训练组数据取70%,测试组占30%。
下面是测试结果:
最后训练集的RMSE为0.485,测试集0.654.
共同学习,写下你的评论
评论加载中...
作者其他优质文章



