链表 - 具体案例
一、删除链表中的节点【leetcode - 237】
请编写一个函数,用于 删除单链表中某个特定节点 。在设计函数时需要注意,你无法访问链表的头节点 head ,只能直接访问 要被删除的节点 。
题目数据保证需要删除的节点 不是末尾节点 。
问题:
由于只给了被删除节点,无法获取上一个节点,所以无法采用常规的删除链表节点的方式。
思路:
- 将下一个节点的内容复制到当前要删除的节点上
- 将当前要删除的节点的next指向 下下个节点
function deleteNode(node) {
node.val = node.next.val;
node.next = node.next.next;
};
二、删除排序链表中的重复元素【leetcode - 83】
给定一个已排序的链表的头 head , 删除所有重复的元素,使每个元素只出现一次 。返回 已排序的链表 。
示例:
输入:head = [1,1,2,3,3]
输出:[1,2,3]
输入:head = [1,1,1]
输出:[1]
思路:
- 如果第一个节点不存在,直接返回
- 如果第一个节点存在,声明一个指针,默认指向第一个节点
head - 将当前节点和下一个节点进行比较
- 如果相同,需要删除下一个节点,把当前节点的
next执行下下个节点;
如果不相同,将指针指向下一个节点 - 循环3、4,直到指针的
next为null为止
function deleteDuplicates(head) {
if (!head) {
return head;
}
let p = head;
while (p.next) {
if (p.val === p.next.val) {
p.next = p.next.next;
} else {
p = p.next;
}
}
return head;
}
引申:
如果上述的链表没有排序应该怎么去重?
输入:head = [1,3,2,1,3]
输出:[1,3,2]
输入:head = [2,1,2]
输出:[2, 1]
思路:
- 在原来的基础上增加一个集合,辅助链表去重
var deleteDuplicates = function(head) {
if (!head) {
return head;
}
let set = new Set([head.val]);
let p = head;
while (p.next) {
if (set.has(p.next.val)) {
p.next = p.next.next;
} else {
set.add(p.next.val);
p = p.next;
}
}
return head;
}
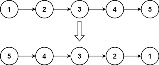
三、反转链表【leetcode - 206】
给你单链表的头节点 head ,请你反转链表,并返回反转后的链表。
示例:
输入:head = [1,2,3,4,5]
输出:[5,4,3,2,1]
思路:
- 创建双指针
p1、p2;p1默认指向null,p2默认指向head p2的next指向p1;然后双指针往后移- 重复步骤2,直到p2的指针为空结束
function reverseList(head) {
let p1 = null;
let p2 = head;
while (p2) {
const temp = p2.next;
p2.next = p1;
p1 = p2;
p2 = temp;
}
return p1;
};
点击查看更多内容
1人点赞
评论
共同学习,写下你的评论
评论加载中...
作者其他优质文章
正在加载中
感谢您的支持,我会继续努力的~
扫码打赏,你说多少就多少
赞赏金额会直接到老师账户
支付方式
打开微信扫一扫,即可进行扫码打赏哦
