1. 不动点和不动点迭代法
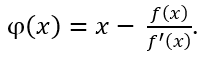
设 f 是连续函数,为了解方程
把方程变换为等价的方程
其中φ 是连续函数。若x* 是f 的零点,即f(x*)=0 则有
x*称为函数φ 的一个不动点.构造的迭代法
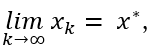
这称为一种不动点迭代法, 称为迭代函数。由(1.3)式产生的序列 {xk}如果满足 ,
则 x*是φ的一个不动点。即方程(1.1)的一个根。
2.函数在区间上不动点的存在性和唯一性及推论
定理 2.1 设 φ∈C[a,b]且满足

则 φ 在[a,b] 上一定存在不动点。若φ 满足(2.1),又存在常数L∈(0,1) 使
则φ 在[a,b] 的不动点是唯一的。
条件 (2.2)称为Lipschitz条件,L称为Lipschitz常数。
定理 2.1的推论 设函数φ满足(2.1),又 φ'∈C[a,b],且存在常数L∈(0,1) ,使
则φ 在[a,b] 上存在唯一的不动点。
3.迭代法在区间[a,b]的收敛性
定理3.1 设φ∈C[a,b],满足条件(2.1)和(2.2),其中L∈(0,1)。则对任意的x0∈[a,b],由迭代法(1.3) 产生的序列{xk}收敛到φ在[a,b]上的不动点x* ,而且对整数P≥1,
定理3.1描述了对任意的x0∈[a,b],{xk}收敛到[a,b]唯一的不动点x*,这可以说是在区间[a,b]上的全局收敛性。
局部收敛性
定义 设函数φ在区间[a,b]上有不动点x* , 如果存在x*的一个邻域
对任意的 x0∈S,迭代法(1.3)产生的序列{xk}∈S,且{xk}收敛到x*,就称迭代法(1.3)局部收敛。
定理3.2 设 x*为函数φ 的不动点, 在φ'在x*的某个邻域上存在且连续,且
则迭代法(1.3)局部收敛。
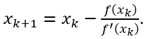
4.牛顿迭代法
设x*是f的零点,并已有一个近似值xk≈x*,如果f''存在且连续,由Taylor展开式得

其中ξ在xk和x*之间。因为f(x*)=0,如果f'(xk)≠ 0,略去最后一项即得
. 
这就是Newton迭代法,又称Newton-Raphson迭代法。
牛顿迭代法的局部收敛性
Newton迭代法对应的迭代函数是
定理4.1 设f(x*)=0 ,f'(x*)≠ 0,且f在包含x*的一个区间上有二阶连续导数,则牛顿迭代法(4.2)局部收敛到x* 。
练习题:设 a>0, 求平方根
可以转化为解方程
求迭代公式及迭代公式在(0,+∞)上的全局收敛性。并和二分法比较。
练习题解答请参考:点击打开链接
5.参考文献
最优化理论与算法(第二版).陈宝林编著.
共同学习,写下你的评论
评论加载中...
作者其他优质文章












