注意力机制:让机器学会“挑重点”
前言
在日常生活中,我们总是无意识地选择性地关注某些信息,而忽略其他部分。
比如,听音乐时,我们可能会更关注旋律或歌词;阅读文章时,我们会优先留意标题和核心观点。
这种“选择性关注”的能力,正是注意力机制的核心思想。
而在人工智能领域,注意力机制则是一种让机器在处理大量数据时,能够自动识别并聚焦于关键信息的技术。
注意力机制的工作原理
注意力机制的工作流程可以简化为三个主要步骤:
- 计算重要性权重
假设你面前有一堆水果,你会根据颜色、大小、味道等因素给每个水果打分,分数越高表示你越喜欢它。
在机器学习中,这一步是通过计算每个数据点的“权重”来实现的。
权重越高,说明该数据点在当前任务中越重要。
- 按权重重新组合信息
在给水果打分后,你会根据分数决定先吃哪个水果,或者将它们按优先级排列。
在机器学习中,这一步是将所有数据点按照其权重重新组合,生成一个“浓缩版”的数据表示。
- 利用新数据完成任务
最后,机器会使用这个“浓缩版”数据来完成具体任务,比如翻译文本、生成图像或预测结果。
注意力机制的类型
根据不同的任务需求,注意力机制可以分为以下几种类型:
-
全局注意力:关注整个输入内容,适用于需要全面理解上下文的任务,如机器翻译。
-
局部注意力:只关注输入的一部分,适合需要快速响应的任务,如实时语音识别。
-
自注意力:让模型内部建立数据点之间的关系,常用于自然语言处理任务,如文本生成。
-
多头注意力:同时关注多个方向,增强模型对不同子空间的关注能力,广泛应用于Transformer模型。
注意力机制的应用
注意力机制已经在多个领域展现了强大的能力,以下是几个典型应用场景:
-
机器翻译:通过识别句子中的关键词,生成更准确的翻译结果。
-
文本生成:根据上下文重点内容,生成自然流畅的文字,如文章写作或聊天机器人。
-
图像识别:优先关注图像中的特定区域,如人脸或物体轮廓,提升识别精度。
-
推荐系统:根据用户的历史行为,找出其最可能感兴趣的商品或内容。
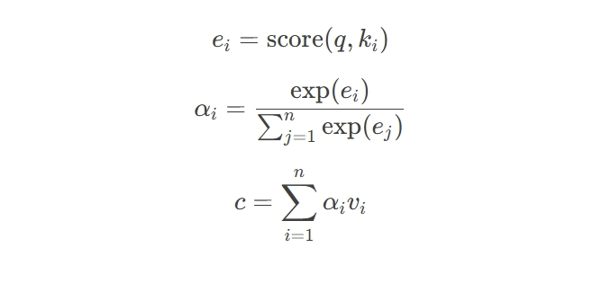
注意力机制的数学表达
为了更深入地理解注意力机制,我们可以用数学公式来描述其工作过程。假设输入序列为
其中:
-
( q ) 是查询向量,表示当前任务的需求。
-
( k_i ) 是键向量,表示输入序列中第 ( i ) 个元素的特征。
-
( v_i ) 是值向量,表示输入序列中第 ( i ) 个元素的实际内容。
-
( e_i ) 是未归一化的得分,用于衡量 ( q ) 和 ( k_i ) 的相关性。
-
( \alpha_i ) 是归一化后的权重,表示第 ( i ) 个元素的重要性。
总结
注意力机制的核心在于让机器像人类一样,能够从海量信息中筛选出关键部分,并集中资源进行处理。
这种技术不仅提升了模型的效率,还显著改善了任务的表现。
随着人工智能的不断发展,注意力机制的应用范围也将进一步扩大,成为推动技术进步的重要力量。
通过独立思考和多角度分析,本文从注意力机制的基本概念、工作原理、类型、应用场景以及数学表达等方面进行了全面探讨,力求为读者提供一个清晰且深入的理解框架。
共同学习,写下你的评论
评论加载中...
作者其他优质文章

