算法背景
如果想判断一个元素是不是在一个集合里,一般想到的是将集合中所有元素保存起来,然后通过比较确定。链表、树、散列表(又叫哈希表,Hash table)等等数据结构都是这种思路,存储位置要么是磁盘,要么是内存。很多时候要么是以时间换空间,要么是以空间换时间。
在响应时间要求比较严格的情况下,如果我们存在内里,那么随着集合中元素的增加,我们需要的存储空间越来越大,以及检索的时间越来越长,导致内存开销太大、时间效率变低。
此时需要考虑解决的问题就是,在数据量比较大的情况下,既满足时间要求,又满足空间的要求。即我们需要一个时间和空间消耗都比较小的数据结构和算法。Bloom Filter就是一种解决方案。
Bloom Filter 概念
布隆过滤器(英语:Bloom Filter)是1970年由布隆提出的。它实际上是一个很长的二进制向量和一系列随机映射函数。布隆过滤器可以用于检索一个元素是否在一个集合中。它的优点是空间效率和查询时间都远远超过一般的算法,缺点是有一定的误识别率和删除困难。
Bloom Filter 原理
布隆过滤器的原理是,当一个元素被加入集合时,通过K个散列函数将这个元素映射成一个位数组中的K个点,把它们置为1。检索时,我们只要看看这些点是不是都是1就(大约)知道集合中有没有它了:如果这些点有任何一个0,则被检元素一定不在;如果都是1,则被检元素很可能在。这就是布隆过滤器的基本思想。
Bloom Filter跟单哈希函数Bit-Map不同之处在于:Bloom Filter使用了k个哈希函数,每个字符串跟k个bit对应。从而降低了冲突的概率。
 
Bloom Filter的缺点
bloom filter之所以能做到在时间和空间上的效率比较高,是因为牺牲了判断的准确率、删除的便利性
- 存在误判,可能要查到的元素并没有在容器中,但是hash之后得到的k个位置上值都是1。如果bloom filter中存储的是黑名单,那么可以通过建立一个白名单来存储可能会误判的元素。 
- 删除困难。一个放入容器的元素映射到bit数组的k个位置上是1,删除的时候不能简单的直接置为0,可能会影响其他元素的判断。可以采用Counting Bloom Filter 
Bloom Filter 实现
布隆过滤器有许多实现与优化,Guava中就提供了一种Bloom Filter的实现。
在使用bloom filter时,绕不过的两点是预估数据量n以及期望的误判率fpp,
在实现bloom filter时,绕不过的两点就是hash函数的选取以及bit数组的大小。
对于一个确定的场景,我们预估要存的数据量为n,期望的误判率为fpp,然后需要计算我们需要的Bit数组的大小m,以及hash函数的个数k,并选择hash函数
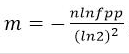
(1)Bit数组大小选择
     根据预估数据量n以及误判率fpp,bit数组大小的m的计算方式:
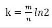
(2)哈希函数选择
           由预估数据量n以及bit数组长度m,可以得到一个hash函数的个数k:
哈希函数的选择对性能的影响应该是很大的,一个好的哈希函数要能近似等概率的将字符串映射到各个Bit。选择k个不同的哈希函数比较麻烦,一种简单的方法是选择一个哈希函数,然后送入k个不同的参数。
哈希函数个数k、位数组大小m、加入的字符串数量n的关系可以参考Bloom Filters - the math,Bloom_filter-wikipedia
看看Guava中BloomFilter中对于m和k值计算的实现,在com.google.common.hash.BloomFilter类中:
| /**  * 计算 Bloom Filter的bit位数m  *  * <p>See http://en.wikipedia.org/wiki/Bloom_filter#Probability_of_false_positives for the  * formula.  *  * @param n 预期数据量  * @param p 误判率 (must be 0 < p < 1)  */@VisibleForTestingstaticlongoptimalNumOfBits(longn, doublep) {    if(p == 0) {      p = Double.MIN_VALUE;    }    return(long) (-n * Math.log(p) / (Math.log(2) * Math.log(2)));  }              /**  * 计算最佳k值,即在Bloom过滤器中插入的每个元素的哈希数  *  * <p>See http://en.wikipedia.org/wiki/File:Bloom_filter_fp_probability.svg for the formula.  *  * @param n 预期数据量  * @param m bloom filter中总的bit位数 (must be positive)  */@VisibleForTestingstaticintoptimalNumOfHashFunctions(longn, longm) {    // (m / n) * log(2), but avoid truncation due to division!    returnMath.max(1, (int) Math.round((double) m / n * Math.log(2)));  }   | 
BloomFilter实现的另一个重点就是怎么利用hash函数把数据映射到bit数组中。Guava的实现是对元素通过MurmurHash3计算hash值,将得到的hash值取高8个字节以及低8个字节进行计算,以得当前元素在bit数组中对应的多个位置。MurmurHash3算法详见:Murmur哈希,于2008年被发明。这个算法hbase,redis,kafka都在使用。
这个过程的实现在两个地方:
- 将数据放入bloom filter中 
- 判断数据是否已在bloom filter中 
这两个地方的实现大同小异,区别只是,前者是put数据,后者是查数据。
这里看一下put的过程,hash策略以MURMUR128_MITZ_64为例:
| public<T> booleanput(      T object, Funnel<? superT> funnel, intnumHashFunctions, LockFreeBitArray bits) {    longbitSize = bits.bitSize();       //利用MurmurHash3得到数据的hash值对应的字节数组    byte[] bytes = Hashing.murmur3_128().hashObject(object, funnel).getBytesInternal();          //取低8个字节、高8个字节,转成long类型    longhash1 = lowerEight(bytes);    longhash2 = upperEight(bytes);       booleanbitsChanged = false;          //这里的combinedHash = hash1 + i * hash2    longcombinedHash = hash1;          //根据combinedHash,得到放入的元素在bit数组中的k个位置,将其置1    for(inti = 0; i < numHashFunctions; i++) {      bitsChanged |= bits.set((combinedHash & Long.MAX_VALUE) % bitSize);      combinedHash += hash2;    }    returnbitsChanged;  }   | 
判断元素是否在bloom filter中的方法mightContain与上面的实现基本一致,不再赘述。
Bloom Filter的使用
简单写个demo,用法很简单,类似HashMap
| packagecom.qunar.sage.wang.common.bloom.filter;     importcom.google.common.base.Charsets;  importcom.google.common.hash.BloomFilter;  importcom.google.common.hash.Funnel;  importcom.google.common.hash.Funnels;  importcom.google.common.hash.PrimitiveSink;  importlombok.AllArgsConstructor;  importlombok.Builder;  importlombok.Data;  importlombok.ToString;     /**  * BloomFilterTest  *  * @author sage.wang  * @date 18-5-14 下午5:02  */publicclassBloomFilterTest {             publicstaticvoidmain(String[] args) {          longexpectedInsertions = 10000000;          doublefpp = 0.00001;             BloomFilter<CharSequence> bloomFilter = BloomFilter.create(Funnels.stringFunnel(Charsets.UTF_8), expectedInsertions, fpp);             bloomFilter.put("aaa");          bloomFilter.put("bbb");          booleancontainsString = bloomFilter.mightContain("aaa");          System.out.println(containsString);             BloomFilter<Email> emailBloomFilter = BloomFilter                  .create((Funnel<Email>) (from, into) -> into.putString(from.getDomain(), Charsets.UTF_8),                          expectedInsertions, fpp);             emailBloomFilter.put(newEmail("sage.wang", "quanr.com"));          booleancontainsEmail = emailBloomFilter.mightContain(newEmail("sage.wangaaa", "quanr.com"));          System.out.println(containsEmail);      }         @Data    @Builder    @ToString    @AllArgsConstructor    publicstaticclassEmail {          privateString userName;          privateString domain;      }     }   | 
Bloom Filter的应用
常见的几个应用场景:
- cerberus在收集监控数据的时候, 有的系统的监控项量会很大, 需要检查一个监控项的名字是否已经被记录到db过了, 如果没有的话就需要写入db. 
- 爬虫过滤已抓到的url就不再抓,可用bloom filter过滤 
- 垃圾邮件过滤。如果用哈希表,每存储一亿个 email地址,就需要 1.6GB的内存(用哈希表实现的具体办法是将每一个 email地址对应成一个八字节的信息指纹,然后将这些信息指纹存入哈希表,由于哈希表的存储效率一般只有 50%,因此一个 email地址需要占用十六个字节。一亿个地址大约要 1.6GB,即十六亿字节的内存)。因此存贮几十亿个邮件地址可能需要上百 GB的内存。而Bloom Filter只需要哈希表 1/8到 1/4 的大小就能解决同样的问题。 
参考文章
那些优雅的数据结构(1) : BloomFilter——大规模数据处理利器
https://blog.csdn.net/hfmbook/article/details/70209184
共同学习,写下你的评论
评论加载中...
作者其他优质文章
 
                 
            


 
			 
					 
					