二叉树的遍历是在面试使比较常见的项目了。对于二叉树的前中后层序遍历,每种遍历都可以递归和循环两种实现方法,且每种遍历的递归实现都比循环实现要简洁。下面做一个小结。
一、中序遍历
前中后序三种遍历方法对于左右结点的遍历顺序都是一样的(先左后右),唯一不同的就是根节点的出现位置。对于中序遍历来说,根结点的遍历位置在中间。
所以中序遍历的顺序:左中右
1.1 递归实现
每次递归,只需要判断结点是不是None,否则按照左中右的顺序打印出结点value值。
class Solution: def inorderTraversal(self, root): """ :type root: TreeNode :rtype: List[int] """ if not root: return [] return self.inorderTraversal(root.left) + [root.val] + self.inorderTraversal(root.right)
1.2 循环实现
循环比递归要复杂得多,因为你得在一个函数中遍历到所有结点。但是有句话很重要:
对于中序遍历的循环实现,每次将当前结点(curr)的左子结点push到栈中,直到当前结点(curr)为None。这时,pop出栈顶的第一个元素,设其为当前结点,并输出该结点的value值,且开始遍历该结点的右子树。
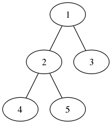
例如,对于上图的一个二叉树,其循环遍历过程如下表:
| No. | 输出列表sol | 栈stack | 当前结点curr |
|---|---|---|---|
| 1 | [] | [] | 1 |
| 2 | [] | [1] | 2 |
| 3 | [] | [1,2] | 4 |
| 4 | [] | [1,2,4] | None |
| 5 | [4] | [1,2] | 4 -> None(4的右结点) |
| 6 | [4,2] | [1] | 2 -> 5 |
| 7 | [4,2] | [1,5] | None(5的左结点) |
| 8 | [4,2,5] | [1] | 5 -> None(5的右结点) |
| 9 | [4,2,5,1] | [] | 3 |
| 10 | [4,2,5,1] | [3] | None |
| 11 | [4,2,5,1,3] | [] | None |
可见,规律为:当前结点curr不为None时,每一次循环将当前结点curr入栈;当前结点curr为None时,则出栈一个结点,且打印出栈结点的value值。整个循环在stack和curr皆为None的时候结束。
class Solution: def inorderTraversal(self, root): stack = [] sol = [] curr = root while stack or curr: if curr: stack.append(curr) curr = curr.left else: curr = stack.pop() sol.append(curr.val) curr = curr.right return sol
二、前序遍历和后序遍历
按照上面的说法,前序遍历指根结点在最前面输出,所以前序遍历的顺序是:中左右
后序遍历指根结点在最后面输出,所以后序遍历的顺序是:左右中
2.1 递归实现
递归实现与中序遍历几乎完全一样,改变一下打印的顺序即可:
class Solution: def preorderTraversal(self, root): ##前序遍历 """ :type root: TreeNode :rtype: List[int] """ if not root: return [] return [root.val] + self.inorderTraversal(root.left) + self.inorderTraversal(root.right) def postorderTraversal(self, root): ##后序遍历 """ :type root: TreeNode :rtype: List[int] """ if not root: return [] return self.inorderTraversal(root.left) + self.inorderTraversal(root.right) + [root.val]
改动的地方只有return时函数的打印顺序。
2.2 循环实现
为什么把前序遍历和后序遍历放在一起呢?Leetcode上前序遍历是medium难度,后序遍历可是hard难度呢!
实际上,后序遍历不就是前序遍历的“反过程”嘛!
先看前序遍历。我们仍然使用栈stack,由于前序遍历的顺序是中左右,所以我们每次先打印当前结点curr,并将右子结点push到栈中,然后将左子结点设为当前结点。入栈和出栈条件(当前结点curr不为None时,每一次循环将当前结点curr入栈;当前结点curr为None时,则出栈一个结点)以及循环结束条件(整个循环在stack和curr皆为None的时候结束)与中序遍历一模一样。
再看后序遍历。由于后序遍历的顺序是左右中,我们把它反过来,则遍历顺序变成中左右,是不是跟前序遍历只有左右结点的差异了呢?然而左右的差异仅仅就是.left和.right的差异,在代码上只有机械的差别。
我们来看代码:
class Solution: def preorderTraversal(self, root): ## 前序遍历 stack = [] sol = [] curr = root while stack or curr: if curr: sol.append(curr.val) stack.append(curr.right) curr = curr.left else: curr = stack.pop() return sol def postorderTraversal(self, root): ## 后序遍历 stack = [] sol = [] curr = root while stack or curr: if curr: sol.append(curr.val) stack.append(curr.left) curr = curr.right else: curr = stack.pop() return sol[::-1]
代码的主体部分基本就是.right和.left交换了顺序,且后序遍历在最后输出的时候进行了反向(因为要从中右左变为左右中)
三、层序遍历
层序遍历也可以叫做宽度优先遍历:先访问树的第一层结点,再访问树的第二层结点...然后一直访问到最下面一层结点。在同一层结点中,以从左到右的顺序依次访问。
3.1 递归实现
递归函数需要有一个参数level,该参数表示当前结点的层数。遍历的结果返回到一个二维列表sol=[[]]中,sol中的每一个子列表保存了对应index层的从左到右的所有结点value值。
class Solution: def levelOrder(self, root): """ :type root: TreeNode :rtype: List[List[int]] """ def helper(node, level): if not node: return else: sol[level-1].append(node.val) if len(sol) == level: # 遍历到新层时,只有最左边的结点使得等式成立 sol.append([]) helper(node.left, level+1) helper(node.right, level+1) sol = [[]] helper(root, 1) return sol[:-1]
PS:
Q:如果仍然按层遍历,但是每层从右往左遍历怎么办呢?
A:将上面的代码left和right互换即可
Q:如果仍然按层遍历,但是我要第一层从左往右,第二层从右往左,第三从左往右...这种zigzag遍历方式如何实现?
A:将sol[level-1].append(node.val)进行一个层数奇偶的判断,一个用append(),一个用insert(0,)
if level%2==1: sol[level-1].append(node.val) else: sol[level-1].insert(0, node.val)
3.2 循环实现
这里的循环实现不能用栈了,得用队列queue。因为每一层都需要从左往右打印,而每打印一个结点都会在队列中依次添加其左右两个子结点,每一层的顺序都是一样的,故必须采用先进先出的数据结构。
以下代码的打印结果为一个一维列表,没有采用二维列表的形式。
class Solution: def levelOrder(self, root): if not root: return [] sol = [] curr = root queue = [curr] while queue: curr = queue.pop(0) sol.append(curr.val) if curr.left: queue.append(curr.left) if curr.right: queue.append(curr.right) return sol
其实,如果需要打印成zigzag形式(相邻层打印顺序相反),则可以采用栈stack数据结构,正好符合先进后出的形式。不过在代码上还要进行其他改动。
转载请注明原文链接,对本文有任何建议和意见请在评论区讨论,谢谢!
共同学习,写下你的评论
评论加载中...
作者其他优质文章
