一.概念
LDA:Linear Discriminant Analysis (也有叫做Fisher Linear Discriminant)。与PCA一样,是一种线性降维算法。不同于PCA只会选择数据变化最大的方向,由于LDA是有监督的(分类标签),所以LDA会主要以类别为思考因素,使得投影后的样本尽可能可分。它通过在k维空间选择一个投影超平面,使得不同类别在该超平面上的投影之间的距离尽可能近,同时不同类别的投影之间的距离尽可能远。从而试图明确地模拟数据类之间的差异。
二.算法
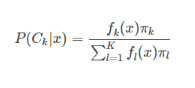
在LDA中,我们假设每一个类别的数据服从高斯分布,且具有相同协方差矩阵Σ。 为了得到最优的分类器,我们需要知道类别的后验概率P(Ck|x)。根据贝叶斯定理:
其中,πk 是类别Ck的先验概率,是已知的,那么主要就是求出类条件概率密度函数fk(x)。不同的算法,对这个类条件概率密度函数的假设都不同。
例如:
线性判别分析(LDA)假设fk(x)是均值不同,方差相同的高斯分布
二次判别分析(QDA)假设fk(x)是均值不同,方差也不同的高斯分布
高斯混合模型(GMM)假设fk(x)是不同的高斯分布的组合
很多非参数方法假设fk(x)是参数的密度函数,比如直方图
朴素贝叶斯假设fk(x)是Ck边缘密度函数,即类别之间是独立同分布的
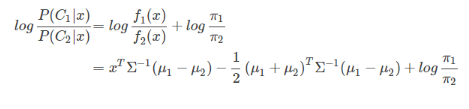
那么LDA的类条件概率密度函数可以写为
一个线性分类器,在判别式函数δk(x)或者后验概率函数P(Ck|x)上加上一个单调函数f(⋅)后,可以得变换后的函数是x的线性函数,而得到的线性函数就是决策面。LDA所采用的单调变换函数f(⋅)和前面提到的Logistics Regression采用的单调变换函数一样,都是logit 函数:log[p/(1−p)],对于二分类问题有:
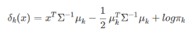
可以看出,其决策面是一个平面。根据上面的式子,也可以很容易得到LDA的决策函数是:
三.sklearn提供的API
sklearn的discriminant_analysis提供了LDA方法(LinearDiscriminantAnalysis)
def __init__(self, solver='svd', shrinkage=None, priors=None, n_components=None, store_covariance=False, tol=1e-4):self.solver = solverself.shrinkage = shrinkageself.priors = priorsself.n_components = n_componentsself.store_covariance = store_covariance # used only in svd solverself.tol = tol # used only in svd solver
solver : 即求LDA超平面特征矩阵使用的方法。可以选择的方法有奇异值分解"svd",最小二乘"lsqr"和特征分解"eigen"。一般来说特征数非常多的时候推荐使用svd,而特征数不多的时候推荐使用eigen。主要注意的是,如果使用svd,则不能指定正则化参数shrinkage进行正则化。默认值是svd
shrinkage:正则化参数,可以增强LDA分类的泛化能力。如果仅仅只是为了降维,则一般可以忽略这个参数。默认是None,即不进行正则化。可以选择"auto",让算法自己决定是否正则化。当然我们也可以选择不同的[0,1]之间的值进行交叉验证调参。注意shrinkage只在solver为最小二乘"lsqr"和特征分解"eigen"时有效。
priors :类别权重,可以在做分类模型时指定不同类别的权重,进而影响分类模型建立。降维时一般不需要关注这个参数。
n_components:即我们进行LDA降维时降到的维数。在降维时需要输入这个参数。注意只能为[1,类别数-1)范围之间的整数。如果我们不是用于降维,则这个值可以用默认的None。
实例代码:
import numpy as npimport matplotlib.pyplot as pltfrom sklearn.datasets.samples_generator import make_classificationfrom sklearn.decomposition import PCAfrom sklearn.discriminant_analysis import LinearDiscriminantAnalysisfrom mpl_toolkits.mplot3d import Axes3DX, y = make_classification(n_samples=1000, n_features=3, n_redundant=0, n_classes=3, n_informative=2,n_clusters_per_class=1,class_sep =0.5, random_state =10)fig = plt.figure('data')ax = Axes3D(fig)plt.scatter(X[:, 0], X[:, 1], X[:, 2],marker='o',c=y)print (y)print (X)fig = plt.figure('PCA')pca = PCA(n_components=2)pca.fit(X)print("各主成分的方差值:"+str(pca.explained_variance_))print("各主成分的方差值比:"+str(pca.explained_variance_ratio_))X_new = pca.transform(X)plt.scatter(X_new[:, 0], X_new[:, 1],marker='o',c=y,alpha=0.5)fig = plt.figure('LDA')lda = LinearDiscriminantAnalysis(n_components=2)lda.fit(X,y)X_new = lda.transform(X)plt.scatter(X_new[:, 0], X_new[:, 1],marker='o',c=y,alpha=0.5)plt.show()可以看到,没有利用类别信息的PCA降维后螺旋爆炸升天,样本特征和类别的信息关联几乎完全丢失,简直石乐志。而LDA样本特征和类别信息之间还是可以保留的。
四.总结
LDA与PCA的最大的不同点在于,LDA是有监督的算法,而PCA是无监督的,因为PCA算法没有考虑数据的标签(类别),只是把原数据映射到一些方差比较大的方向(基)上去而已。而LDA算法则考虑了数据的标签。所以一般来说,如果我们的数据是有类别标签的,那么优先选择LDA去尝试降维;当然也可以使用PCA做很小幅度的降维去消去噪声,然后再使用LDA降维。如果没有类别标签,那么肯定PCA是最先考虑的一个选择了。
五.相关学习资源
https://www.cnblogs.com/pinard/p/6249328.html
http://blog.csdn.net/daunxx/article/details/51881956
https://en.wikipedia.org/wiki/Linear_discriminant_analysis
共同学习,写下你的评论
评论加载中...
作者其他优质文章






