前言
扯来扯去,前面三篇自定义 View 文章,终于扯完了一些知识点,有些枯燥,所以我也是讲下核心点,没有细分析,主要是让各位有点印象和了解。这篇终于是实践,敲代码的了,因为工作原因,这篇拖的比较久,不过这系列会一直更新下去的,会把我工作中用到的自定义 View 也会加上去。好了,回归正原题,说到自定义 View ,似乎都离不开贝塞尔曲线,因此,第一篇实践就是与贝塞尔曲线有关的。
目录
一、贝塞尔曲线
1、贝塞尔曲线简介
来看看官方对神奇的赛贝尔曲线的介绍:贝塞尔曲线于 1962,由法国工程师皮埃尔·贝塞尔所广泛发表,他运用贝塞尔曲线来为汽车的主体进行设计。贝塞尔曲线最初由 Paul de Casteljau 于 1959 年运用 de Casteljau 演算法开发,以稳定数值的方法求出贝兹曲线。贝塞尔曲线主要用于二维图形应用程序中的数学曲线,曲线由起始点,终止点(也称锚点)和控制点组成,通过调整控制点,贝塞尔曲线的形状会发生变化。
看完后是不是一脸蒙蔽,一句话理解贝塞尔曲线就是:将任意一条曲线转化为精确的数学公式。
2、赛贝尔曲线公式
竟然说了是将曲线转化为精确的数学公式,那么我们来看下具体的数学公式( 注:以下公式中,B(t) 为 t 时间下点的坐标; P0 为起点,Pn 为终点,Pi 为控制点 ):
(1) 一阶贝塞尔曲线(线段)
由 P0 至 P1 的连续点, 描述的一条线段
(2) 二阶贝塞尔曲线(抛物线):
由 P0 至 P1 的连续点 Q0,描述一条线段。
由 P1 至 P2 的连续点 Q1,描述一条线段。
由 Q0 至 Q1 的连续点 B(t),描述一条二次贝塞尔曲线。
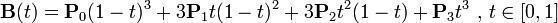
(3) 三阶贝塞尔曲线:
3、贝塞尔曲线在 Android 中的应用
其实贝塞尔曲线在 Android 自定义 View 中运用还是挺多的,比如
Android 5.0 后下拉刷新的阴影曲线
QQ 消息提醒的小红点
用于左右滑动时显示个数的点的移动动画
水流波动效果
一个弹性效果的抽屉菜单
4、Android Path 类中提供贝塞尔曲线的操作方法
在 Android 开发中,要实现贝塞尔曲线其实还是很简单的,因为 Android 已经给我们提供了相关接口,此接口方法在 Path 类中,而关于 Path 类的讲解,前面一篇博客就介绍过了。而且通过 Android 的 API 可以知道,贝塞尔曲线从 API1 就开始支持了。下面就是赛贝尔曲线对应的 API 方法了。
| 贝塞尔曲线 | 对应的方法 | 演示动画 |
|---|---|---|
| 一阶曲线 <br/> (线性曲线) | lineTo | ![]() |
| 二阶曲线 | quadTo | ![]() |
| 三阶曲线 | cubicTo | ![]() |
| 四阶曲线 | 无 | ![]() |
5、通过 de Casteljau 算法绘制贝塞尔曲线
上面提过,Path 类中提供了画一到三阶的贝塞尔曲线的方法,如果我们需要绘制更高阶的贝塞尔曲线呢?我们可以采用德卡斯特里奥算法(De Casteljau’s Algorithm)来实现贝塞尔曲线。
效果图:
Github 上的代码:beziercurve
里面主要就一个类,beziercurve ,这是个自定义 View ,BezierCurve 里面主要提供了以下的方法:
Methods:
| method 方法 | description 描述 |
|---|---|
| void start() | 开始贝塞尔曲线(required) |
| void stop() | 停止贝塞尔曲线(optional) |
| boolean addPoint() | 增加控制点(optional) |
| boolean delPoint() | 删除控制点(optional) |
| int getOrder() | 获取贝塞尔曲线阶数(optional) |
| void setRate(int rate) | 设置移动速率(optional) |
| void setTangent(boolean tangent) | 设置是否显示切线(optional) |
| void setLoop(boolean loop) | 设置是否循环(optional) |
| void setOrder(int order) | 设置贝塞尔曲线阶数(optional) |
最后通过 BezierCurveActivity 来展示。
二、贝塞尔曲线的应用
1.QQ 消息提醒可拖拽红点
Github 上的项目地址:qqmsgnotify
效果图:
主要是在绘制红点的时候运用了贝塞尔曲线,在固定的位置中,拖拽的时候,有一种粘性的效果,就是这里运用了贝塞尔曲线。
运用:
(1) 在对应的位置创建一个 TextView
(2) 设置 GooViewListener 监听事件就可以了
mTvPoint = (TextView) findViewById(R.id.point_conversation);
mTvPoint.setText("10");
mTvPoint.setTag(10);
GooViewListener listener = new GooViewListener(this, mTvPoint) { @Override
public void onDisappear(PointF mDragCenter) { super.onDisappear(mDragCenter);
Toast.makeText(QQMsgNotifyActivity.this, "消失了", Toast.LENGTH_SHORT).show();
} @Override
public void onReset(boolean isOutOfRange) { super.onReset(isOutOfRange);
Toast.makeText(QQMsgNotifyActivity.this, "重置了", Toast.LENGTH_SHORT).show();
}
};
mTvPoint.setOnTouchListener(listener);2.Viewpage页面引导切换动画
Github 上的项目地址:guideview
效果图:
其实这个例子也是,运用贝塞尔曲线也就是在绘制那个圆形的地方而已,其他地方基本不怎么使用贝塞尔曲线。
共同学习,写下你的评论
评论加载中...
作者其他优质文章


















